西藏洛扎县次麦铅锌银多金属矿床的成矿流体研究:来自流体包裹体及H-O同位素的证据
doi: 10.20008/j.kckc.202504009
杨玉林1 , 李光明2 , 杨洪伟3 , 付建刚2 , 李应栩2 , 郭伟康2
1. 成都理工大学地球科学学院,四川 成都 610059
2. 中国地质调查局成都地质调查中心(西南地质科技创新中心),四川 成都 610081
3. 四川省金属地质调查研究所,四川 成都 610095
基金项目: 本文受国家重点研发计划项目(2021YFC2901903)资助
Study on ore-forming fluids of the Cimai Pb-Zn-Ag polymetallic deposit in Luozha County, Xizang Autonomous Region: Evidence from fluid inclusions and H-O isotopes
YANG Yulin1 , LI Guangming2 , YANG Hongwei3 , FU Jiangang2 , LI Yingxu2 , GUO Weikang2
1. College of Earth Sciences Chengdu University of Technology, Chengdu 610059 , Sichuan, China
2. Chengdu Center, China Geological Survey (Geosciences Innovation Center of Southwest China), Chengdu 610218 , Sichuan, China
3. Sichuan Institute of Metal Geologic Survey, Chengdu 610095 , Sichuan, China
摘要
西藏次麦铅锌银多金属矿床位于喜马拉雅成矿带东段,以铅锌为主伴生银,并产出锡铁矿伴生钨的特征,明显不同于区域上其他的铅锌多金属矿床。金属矿物以方铅矿、闪锌矿、黄铁矿为主,次为磁铁矿、黄铜矿等;非金属矿物以绿帘石为主,次为透辉石、透闪石、石英、方解石、阳起石、符山石等。研究显示,在室温下,与铅锌共生的石英流体包裹体类型主要为气液两相流体包裹体;激光拉曼分析显示流体包裹体中气液相主要为H2O,含少量气相CO2。显微测温研究表明,金属硫化物阶段均一温度为227~337.2 ℃,平均值为274.3 ℃;冰点温度为-6.2~-0.5 ℃,盐度为0.9%~9.8% NaCleqv,平均值为3.9% NaCleqv,对应的流体压力为 555.0~939.7 bar,平均值为 699.2 bar;成矿流体属中高温、低盐度、中高压的 NaCl-H2O 体系。石英的 H-O同位素指示成矿流体经历了两阶段演化,早期为与富δD的沉积地层发生水岩反应的变质流体,后期为含矿热液加入的混合流体。研究认为流体混合作用和含矿流体的地球化学障被打破应是次麦铅锌银多金属矿床中铅锌等金属富集成矿的主要因素。次麦铅锌银多金属矿床为研究受穹隆构造控制的矽卡岩型铅锌多金属矿床提供理想对象。
Abstract
The Cimai Pb-Zn polymetallic deposit in Xizang Autonomous Region is located in the eastern part of the Himalayan metallogenic belt. It mainly produces silver associated with lead and zinc, and produces tin iron associated tungsten, which is obviously different from other Pb-Zn polymetallic deposits in the region. The main metallic minerals are galena, sphalerite and pyrite, followed by magnetite and chalcopyrite. The non-metallic minerals are mainly epidote, followed by diopside, tremolite, quartz, calcite, actinite, Fushan stone, etc. The results show that at room temperature, the types of quartz fluid inclusions associated with lead and zinc are mainly gas-liquid two-phase fluid inclusions. Laser Raman analysis shows that the gas-liquid phase in the fluid inclusions is mainly H2O and contains a small amount of gas-phase CO2. Microthermometry shows that the phase homogenization temperature of metal sulfide ranges from 227 to 337.2 ℃, with an average value of 274.3 ℃. The freezing temperature ranges from -6.2 to -0.5 ℃, the salinity ranges from 0.9% to 9.8% NaCleqv with an average value of 3.9% NaCleqv, and the corresponding fluid pressure ranges from 555.0 to 939.7 bar with an average value of 699.2 bar. The ore-forming fluid belongs to the NaCl-H2O system with medium high temperature, low salinity and medium high pressure. The H-O isotope of quartz indicates that the ore-forming fluid has undergone two stages of evolution. In the early stage, the ore-forming fluid is the metamorphic fluid that reacts with the δD-rich sedimentary strata, and in the late stage, the ore-bearing hydrothermal fluid is the mixed fluid. It is concluded that fluid mixing and the breaking of geochemical barrier of ore-bearing fluid should be the main factors for the enrichment and mineralization of Pb and Zn in the Cimai Pb-Zn polymetallic deposit. The Cimai Pb-Zn-Ag polymetallic deposit provides an ideal object for the study of skarn type Pb-Zn polymetallic deposit controlled by vault structure.
0 引言
青藏高原是全球规模最宏大的大陆碰撞造山带,也是全球巨型成矿带——特提斯成矿域的重要组成部分,是中国最重要的多金属富集区(侯增谦, 20082010)。喜马拉雅碰撞造山带为青藏高原的重要组成部分,新生代以来其构造、岩浆活动、变质作用以及热液流体活动十分强烈,为各种金属矿产资源的形成创造了极为有利的条件(陈毓川,1999)。
特提斯喜马拉雅位于喜马拉雅构造造山带的最北缘,其内以发育藏南拆离系,南北向裂谷以及一些呈带状展布的片麻岩穹隆构造为特色,前人研究较多的典型片麻岩穹隆由东向西有错那洞、雅拉香波、拉隆、然巴、康马和拉轨岗日(王根厚等,1997董磊等,2020付建刚等,2020梁维等,2021陈思雨等, 2022Wang et al.,2022)。其东紧邻著名的扎西康矿集区,近年来在矿床及其附近新发现的矿产资源资源量大,种类丰富,其中钨、锡、锂和铍等稀有金属的发现更是打破传统成矿带没有稀有金属的刻板认识,丰富了喜马拉雅成矿带的金属矿产种类(李光明等,20172022付建刚等,20202021)。
次麦铅锌银多金属矿床在构造上居喜马拉雅成矿带东段的库拉岗日穹隆东端,位于西藏山南市洛扎县正南约8 km,是近年来通过地质调查工作新发现的铅锌多金属矿床(付建刚等,2022)。目前仅付建刚等(2022)对该矿床的发现进行了报道。因此,本文在野外地质调查的基础上,对矿区典型金属矿石开展了矿物学、岩相学和流体包裹体研究,结合脉石石英H-O同位素测试分析,探讨成矿流体性质、特征和来源等问题,为矿床成矿机制的研究和区域找矿提供参考资料。
1 地质背景
喜马拉雅构造带是从新生代以来印度—欧亚大陆碰撞造山作用的产物,是研究与大陆碰撞造山作用有关的构造、岩浆、变形变质及成矿作用的天然实验室(莫宣学和潘桂棠,2006侯增谦和王二七,2008)。以雅鲁藏布江缝合带(ITSZ)、藏南拆离系(STDS)、主中央逆冲断裂(MCT)、主边界逆冲断裂(MBT)、主前锋逆冲断裂(MFT)为界,可将喜马拉雅构造造山带由北向南划分为特提斯喜马拉雅 (THS)、高喜马拉雅(GHS)、低喜马拉雅(LHS)和次喜马拉雅(SHS)4 个次级构造单元(尹安,2001Lee et al.,2011)。
特提斯—喜马拉雅山脉位于喜马拉雅造山带的最北端。由于印度地块持续地向欧亚大陆一端俯冲碰撞,区内逆冲推覆构造十分发育,形成了一系列平行于造山带的复杂褶皱和断裂。此外,以藏南拆离系(STD)和中央逆冲断层(MCT)为界线,喜马拉雅构造造山带由南向北可划分为低喜马拉雅 (LHS)、高喜马拉雅(HHS)和特提斯 — 喜马拉雅 (THS)3个次级构造单元(尹安,2001)。区域出露的地层主要为侏罗系—白垩系碎屑岩和碳酸盐岩、三叠系碎屑岩和二叠系结晶灰岩、板岩,此外还有少量前寒武系、石炭系出露。受特提斯洋演化、印度大陆与亚洲大陆碰撞作用控制,特提斯—喜马拉雅带新元古代—新生代岩浆活动强烈,主要以基性岩类和藏南淡色花岗岩为主。区域同时还出露有晚中生代的辉绿岩和花岗闪长岩(朱弟成等,2013Huang et al.,2018)。
次麦铅锌银多金属矿床发现于特提斯喜马拉雅 Pb-Zn-Au-Sb 成矿带内库拉岗日穹隆东部(图1)。库拉岗日穹隆位于北喜马拉雅片麻岩穹隆带东段,介于康马穹隆和错那洞穹隆中间,在山南市洛扎县正南约8 km,属于北喜马拉雅“双穹隆”构造带的南带(付建刚等,20182020)。库拉岗日穹隆三层结构由内向外依次是核部、滑脱系和盖层。核部主要由花岗质片麻岩、片麻状花岗岩、二云母花岗岩、白云母花岗岩、钠长石花岗岩和伟晶岩组成。滑脱系主要由一条规模较大的韧性剪切带组成,其主要岩性由变形花岗岩、伟晶岩、矽卡岩、大理岩、云母石英片岩和含石榴十字云母片岩组成,其中矽卡岩由多层构成,单层厚度为 10~30 m。盖层主要由低级变质的千枚状板岩和弱变质的粉砂质板岩组成。本研究的铅锌银矿体就赋存在滑脱系的矽卡岩中。
次麦铅锌银多金属矿床与邻近错那洞扎西康矿集区都与穹隆构造及穹隆中的淡色花岗岩密切相关。李光明等(2017)通过对扎西康矿集区南侧错那洞穹隆的研究发现,错那洞淡色花岗岩表现出明显的成矿元素分带特征,由中心向外为高温元素W、Sn 和 Be 等—中温元素 Zn、Pb 和 Cu 等—中低温元素 Sb、Au和As等。近年来,以库拉岗日穹隆为中心发现多处铅锌银、锂、锡钨、铌钽等矿床(点)(付建刚等,2020李光明等,2022),显示出巨大的找矿潜力。
1喜马拉雅成矿带东段构造地质简图(据李光明等,2022修改)
2 研究区地质
2.1 地层
研究区出露地层简单,为上古生界下石炭统雇孜组一段(C1g1)和上二叠统白定浦组二段(P3b2)及第四系(Q)(图2)。
上古生界下石炭统雇孜组一段(C1g1):出露于研究区东北部,岩性主要为石榴千枚岩、十字千枚岩、红柱千枚岩、深灰色含炭质绢云千枚岩等。雇孜组属于库拉岗日穹隆滑脱系,由于韧性剪切作用强,整体变形强烈,穹隆核部白云母花岗岩侵入到该地层中。
上二叠统白定浦组二段(P3b2):平行不整合于雇孜组之上,在研究区南部出露,与白云母花岗岩、二云母花岗岩岩体呈侵入接触关系。岩性主要为浅灰色结晶灰岩、结晶大理岩。大理岩呈层状、似层状或透镜状产出,是矿区铅锌矿体的主要赋矿围岩。
第四系(Q):主要发育在地势相对平缓的坡岭地带,冲洪积物则分布在沟谷地带。坡积物、冲洪积物主要为片岩与花岗岩砾石、砂和黏土,分选磨圆极差,为流水冲积堆积和风化散落堆积。
2.2 构造
F1 断层:在研究区西北角,Ⅰ号矿化带的主要控矿构造。是发育于穹隆滑脱系大理岩或矽卡岩化大理岩中的张性断层,具拆离断层特征,沿南东东走向延伸约 1.4 km。断层上盘为大理岩、下盘为矽卡岩化大理岩,断层走向为 289°,倾角 44°,与Ⅰ 号矿化带大体一致,在穹隆隆升时期,断层内部岩石受构造应力挤压破碎变形,主要由闪锌矿化、方铅矿化、黄铁矿化(褐铁矿化)、硅化构造角砾充填。该断层与次麦铅锌银多金属矿床密切相关,推测其为含矿热液的通道运移并为矿体提供了成矿空间。
F2:在矿区中部偏北,是Ⅱ号矿化带的主要控矿构造。发育在穹隆滑脱系大理岩与矽卡岩层的张性断层中,沿南东东走向延伸约 0.6 km。断层上盘为大理岩、下盘为矽卡岩化大理岩,断层走向为 299°,倾角41°,与Ⅱ号矿化带走向大体一致,在穹隆隆升时期,地层内部岩石受构造应力挤压破碎变形,形成构造角砾岩和碎裂岩,断层内发育方铅矿化、闪锌矿化、黄铁矿化(褐铁矿化)、方解石化。该断层与Ⅱ号矿化带密切相关,为矿床提供了成矿空间。
2.3 岩浆岩
矿区受穹隆构造影响,岩浆岩较发育,以花岗质片麻岩和淡色花岗岩为主,主要分布在穹隆核部,少量出露在穹隆的滑脱系中,整体以岩株产出,部分沿断层侵入呈脉状分布。
花岗质片麻岩:在矿区出露较少,深灰色,中粒变晶结构,片麻状构造。主要由石英(25%~35%)、斜长石(20%~30%)、白云母(5%~10%)、黑云母 (10%~15%)、电气石和石榴子石(5%~10%)组成。锆石 U-Pb 测试结果显示,花岗质片麻岩的原岩结晶年龄为498 Ma(付建刚未发表数据)。
淡色花岗岩:主要为二云母花岗岩、白云母花岗岩、钠长石花岗岩。其中二云母花岗岩为灰白色,中—细粒结构,块状构造,主要由石英(35%~40%)、长石(25%~30%)、白云母(10%~15%)、黑云母(10%~15%)组成。白云母花岗岩为白色,中—细粒结构,块状构造,主要由石英(30%~40%)、长石 (30%~35%)、白云母(20%~25%)组成。独居石 U-Pb 测试结果显示,白云母花岗岩的结晶年龄为 19 Ma(付建刚未发表数据)。钠长石花岗岩为白色,细粒结构,块状构造。主要由钠长石(40%~45%)、石英(25%~30%)和少量白云母(5%~10%)组成。
伟晶岩:以数厘米至数米的伟晶岩脉产出,颜色为灰白—灰色,伟晶结构,块状构造。由长石 (35%~45%)、石英(25%~35%),少量云母(5%~10%)组成。伟晶成分为长石、云母,粒径2~10 mm。
2.4 矿体特征
矿体总体受南东东向断层控制,呈北西向和东南向展布。Pb-Zn-Ag 矿体产出于受构造控制的矿化蚀变带中,分布于矿区北部(图2)。目前由3个地表工程在3个矿化带中共揭露了5条铅锌银矿体。
Ⅰ号矿化带在地表出露长度为 323 m,向西矿化延伸超过800 m。金属矿物为方铅矿、闪锌矿、黄铁矿和磁铁矿等,非金属矿物为石英、方解石、云母、绿帘石、透闪石等。此条铅锌银矿化带由 21CBT02 剥土工程控制揭露了 2 条铅锌银矿体,其中Ⅰ-1 号矿体厚度为 5.53m,Pb+Zn 平均品位为 9.26%、Ag 平均品位为 52.95×10-6;Ⅰ-1 号矿体厚度为 14.87 m,Pb+Zn 平均品位为 9.52%、Ag 平均品位为83.45×10-6
Ⅱ号矿化带在地表出露长 510 m,金属矿物为方铅矿、闪锌矿、黄铁矿、磁铁矿和镜铁矿等,非金属矿物为石英、方解石、云母、绿帘石、绿泥石、透闪石等。此条铅锌银矿化带由 21CBT04 剥土工程控制揭露了1条铅锌银矿体,该矿体厚20.32 m,Pb+Zn 平均品位为4.91%,Ag平均品位为40.96 ×10-6
Ⅲ号矿化带在地表出露长 320 m,金属矿物为方铅矿、闪锌矿、黄铁矿、磁铁矿和镜铁矿等,非金属矿物为石英、方解石、云母、绿帘石、绿泥石、透闪石等。此条铅锌银矿化带由 21CBT01 剥土工程控制揭露了2条铅锌银矿体,其中Ⅲ号矿体厚2.57 m, Pb 平均品位为 0.19%、Zn 平均品位为 3.94%、Pb+Zn 平均品位为4.13%、Ag平均品位为35.20 ×10-6
2次麦铅锌银多金属矿床矿区地质图(据付建刚等,2022
2.5 矿石特征
矿区矿石组成复杂,以原生矿石为主,属硫化矿石,按矿物学分类大致如下:金属矿物中以方铅矿、闪锌矿、黄铁矿为主,其次为磁铁矿、黄铜矿等;常见的硅酸盐矿物有绿泥石、绿帘石和长石,同时还可见阳起石、符山石、绢云母、透闪石,偶见石榴子石;碳酸盐矿物以方解石为主;氧化矿物以褐铁矿最为常见。
由于次麦矿区铅锌银矿体赋存于矽卡岩构造蚀变带之中,以充填作用形成的构造为主,交代作用形成的构造次之,地表铅锌矿体多破碎呈构造角砾、团块状。矿物构造有块状(图3a)、脉状(图3c) 和浸染状构造(图3b)等。矿石结构包括结晶结构 (自形、半自形和他形结构)(图3i)、交代(残余)结构 (图3d~f)、固溶体分离结构(乳浊状结构、结状结构) (图3g)、压碎结构等(图3h)。
区内主要发育有硅化、绿帘石化、黄铁矿化、矽卡岩化等矿化蚀变,其中以矽卡岩化和黄铁矿化为主。矽卡岩化一般分布在矿区中部,发育于侵入岩与大理岩接触带部位。
3次麦铅锌银多金属矿床矿石类型与典型矿物显微照片
a—块状铅锌矿集合体,石英脉体;b—浸染状铅锌矿手标本;c—脉状铅锌矿及黄铁矿集合体,石英脉;d—Ⅱ阶段的闪锌矿沿Ⅰ阶段的方铅矿裂隙交代;e—Ⅰ阶段的自形黄铜矿被Ⅱ阶段的闪锌矿交代为港湾状;f—早期生成的自形黄铁矿被后期石英脉蚀变交代为骸晶状;g—黄铁矿与闪锌矿、黄铜矿共生,黄铜矿在闪锌矿中呈固熔体的形式产出,石英呈锯齿状;h—黄铁矿受构造应力挤压呈自形破碎状;i—闪锌矿与具特征“黑三角孔”的方铅矿共生;Sp—闪锌矿;Gn—方铅矿;Py—黄铁矿;Cp—黄铜矿;Qz—石英;wein—热液脉
2.6 围岩蚀变
次麦矿区的铅锌银矿体围岩主要为上二叠统白定浦组(P3b2)矽卡岩,受断层构造应力影响,围岩多变形破裂。围岩蚀变主要表现为矽卡岩化、黄铁矿-褐铁矿化、硅化和碳酸盐化。
矽卡岩化:矿区主要的围岩蚀变类型,发育在穹隆边部钠长石花岗岩与大理岩的接触带。岩性主要为石榴石透辉石矽卡岩、含透辉石绿帘石矽卡岩、矽卡岩化大理岩。硅化:矿区常见的一种围岩蚀变类型,主要发育在板岩裂隙中。在张性断层和裂隙内开放空间内发育粗粒石英脉、石英晶簇。黄铁矿-褐铁矿化:广泛发育于矿区,与断层、裂隙密切相关。褐铁矿主要由黄铁矿氧化形成,多为黄褐色致密块状,偶见具有黄铁矿的晶形假象。黄铁矿-褐铁矿化由于其颜色呈褐黄、褐红色,是寻找构造蚀变破碎带的主要标志之一。碳酸盐化:矿区中普遍发育,主要分布在张性断层内,白色细脉状,以方解石脉形式出现。
2.7 成矿期次与成矿阶段
根据野外露头观察和室内矿物薄片显微镜下鉴定,矿床成矿期次可初步划分为矽卡岩期、热液脉期和表生氧化期。热液脉期可分为金属硫化物阶段和碳酸盐阶段。
(1)矽卡岩期:主要发育透闪石、透辉石、石榴石、绿帘石、阳起石、石英等矿物。
(2)热液期:金属硫化物阶段(Ⅰ):为矿床主要成矿阶段,野外露头及镜下可见石英脉体,主要发育的矿物有方铅矿、闪锌矿、黄铁矿、黄铜矿和石英,矿物组合为方铅矿+闪锌矿+黄铜矿+黄铁矿、方铅矿+闪锌矿+石英。此阶段为金属硫化物沉淀的主要阶段。碳酸盐阶段(Ⅱ):为矿床主要成矿阶段,野外露头及显微镜下可见大量石英-方解石脉体,金属矿物呈细脉状。其中发育的矿物包括石英、方解石、黄铁矿、闪锌矿、方铅矿,矿物组合为闪锌矿+方解石+石英,闪锌矿+方铅矿+石英+方解石。该阶段沉淀的金属矿物有方铅矿、闪锌矿、黄铁矿。
(3)表生成矿期:对矿床改造作用较弱,以发育褐铁矿化为主,局部露头可见少量锌矾和铜蓝。
根据次麦矿床矿物共生组合、热液脉的穿插关系等,将该矿床的成矿作用分为3个阶段(表1)。在 21CBT05-T1薄片中可见Ⅱ阶段的方铅矿热液穿插在石英中(图4a),Ⅰ、Ⅱ阶段的闪锌矿在反射光下分别呈橘红色(图3c)和浅绿色(图3b),病毒状黄铜矿与闪锌矿共生(图4e),闪锌矿与方解石共生(图4f),Ⅱ阶段方铅矿交代充填在Ⅰ阶段闪锌矿中(图4i),Ⅱ阶段闪锌矿热液脉侵入到Ⅰ阶段方铅矿中 (图4a、g、h)。此外可见Ⅱ阶段石英脉穿切Ⅰ阶段闪锌矿(图4d、i)。
1次麦铅锌银多金属矿床矿物生成顺序
4各成矿阶段热液脉穿插关系与典型矿物显微照
a—Ⅱ阶段的方铅矿热液脉穿插在石英中,早期Ⅰ阶段生成的自形方铅矿被石英交代为骸晶状,细粒的黄铜矿与早期生成的方铅矿共生;b— Ⅱ阶段闪锌矿内反射;c—Ⅰ阶段闪锌矿内反射;d—Ⅱ阶段石英脉穿切Ⅰ阶段的闪锌矿;e—Ⅰ病毒状黄铜矿与闪锌矿共生;f—闪锌矿与方解石共生,方解石具菱形解理;g—Ⅱ阶段闪锌矿脉在Ⅰ阶段方铅矿;h—Ⅱ阶段闪锌矿热液脉与Ⅰ阶段自形方铅矿;i—黄铁矿与方铅矿闪锌矿共生,其中Ⅱ阶段方铅矿交代充填在闪锌矿空隙中;Sp—闪锌矿;Py—黄铁矿;Gn—方铅矿;Cp—黄铜矿;Qz—石英;Cal—方解石
3 样品采集与分析方法
3.1 样品采集与前处理
在对矿床基本地质特征研究的基础上,对 Pb-Zn-AgⅡ号矿化带的矿体开展了系统的采样工作,采样位置见图2,共采集了12件矿石样品和10件与成矿关系密切的含矿石英脉。将含矿石英脉岩石样品机械粉碎、研磨,以开展H-O同位素测试分析; 矿石样品磨制成厚约0.2 mm的双面抛光包裹体片,进行绿帘石、石英、方解石和闪锌矿中流体包裹体的岩相学及显微测温研究。
3.2 H-O同位素分析
石英中流体包裹体的 H-O 同位素组成分析在核工业北京地质研究院分析测试研究中心完成。流体包裹体的 H 同位素组成分析采用高温爆裂法测得,将样品置于 150℃的低温真空条件下去气 4 h 以上,彻底去除样品表面吸附水等干扰物质后,高温爆裂提取水,并在 400℃与 Zn 反应产生 H2,在 MAT-253 型气体同位素质谱计进行分析。石英和磁铁矿的 O 同位素组成采用 BrF5法测得,将样品与 BrF5反应萃取的矿物O,在700℃温度下与灼热电阻石墨棒燃烧反应 12 min 转化成 CO2,最后收集得到的 CO2在 Delta v advantage 型气体同位素质谱计进行分析。详细过程可参见丁悌平(1994)
3.3 流体包裹体显微测温
流体包裹体显微测温在自然资源部西南矿产资源监督检测中心完成,所用仪器为LinkamTHMS-600型冷热台。当温度介于-196~31℃时,精度优于 0.1℃;温度介于31~300℃之间时,精度优于1℃;温度介于 300~550℃时,精度优于 2℃。分析时室温 23℃,相对湿度 35%。在包裹体测温过程中,低温相变温度采用急冻—缓升,在升温过程中观测包裹体形态大小变化,并在相变温度附近将升温速率调整为1℃/min,以保证观测的温度精准;高于31℃的相变采用10℃/min速率升温,在相变温度附近将升温速率调整至2℃/min进行观测记录。详细过程可参见卢焕章等(2004)
3.4 激光拉曼成分分析
单个流体包裹体的激光拉曼光谱成分分析在自然资源部西南矿产资源监督检测中心完成,使用仪器为Renishaw inVia Reflex显微激光拉曼光谱仪,激光器波长 514 nm,输出功率为 20 mW,光谱分辨率±1 cm-1,光谱重复性≤0.1 cm-1。本次测试中曝光时间为 15 s,采用 1 次叠加。具体实验测试方法见张敏等(2007)
4 分析结果
4.1 包裹体岩相学特征
绿帘石、闪锌矿和石英脉中的原生流体包裹体分布不规则,主要呈星点状或成群分布,次生包裹体多成群或带状分布。根据 Roedder(1984)卢焕章等(2004)提出的室温下流体包裹体相态分类准则,可将次麦铅锌银多金属矿床铅锌矿石中寄生于绿帘石、石英和闪锌矿内的流体包裹体可分为两类 (图5):
(1)富液型流体包裹体,由气液两相组成,气相占比5%~30%;
(2)富气型流体包裹体,由气液两相组成,气相占比40%~80%。
矽卡岩阶段:绿帘石中两种类型的流体包裹体均有发育,并以富液型流体包裹体为主。该类型包裹体由气液两相组成,气相体积分数为 5%~50%,多数为 10%~30%。包裹体长轴 5~28 µm,短轴为 3~20 µm,多呈椭圆、纺锤和不规则状,可见“卡脖子”等后生变形。
金属硫化物阶段(Ⅰ):石英和闪锌矿中主要发育富液型流体包裹体,富气型较少。石英中以富液相包裹体为主,气相体积分数在5%~30%。包裹体大小为 2 µm×3 µm~22 µm×43 µm,主要呈椭圆状和不规则状,成群或孤立状分布。闪锌矿中主要为富液型流体包裹体,气相体积分数在 5%~50% 之间,多集中在 10%~30%。包裹体大小为 2 µm×3 µm~8 µm×21 µm,主要为椭圆和长条状。
碳酸盐阶段(Ⅱ):该阶段包裹体最为发育,以富液型流体包裹体为主。包裹体中的气相体积分数为 5%~30%,多集中在 10% 左右,包裹体大小在 2 µm×3 µm~21 µm×33 µm,大多为椭圆和不规则状。
4.2 显微测温
根据成矿阶段划分,本文对样品中的气液两相包裹体进行了均一温度及冰点的测定,并经过计算获得了不同成矿阶段流体的物理化学条件。本次研究的各阶段流体包裹体显微测温结果见表2
包裹体总体均一温度变化范围较大,在145.3~429.4℃,冰点为-0.4~6.8℃。根据前人提出的经验公式可以计算出流体盐度分布在 0.7%~10.2% NaCleqv
4.3 激光拉曼
次麦铅锌银多金属矿床铅锌矿石中流体包裹体激光拉曼结果显示,矽卡岩阶段的绿帘石以及金属硫化物阶段和碳酸盐阶段的石英中的流体包裹体的拉曼谱图均出现明显的水峰,液相成分均为 H2O,所测试的流体包裹体中,仅在金属硫化物阶段和碳酸盐阶段石英中发现 1 个气相为 CO2 (峰值 1284 cm-1,1285 cm-1,1387 cm-1)(图6)。这表明流体包裹体的液相成分均为 H2O,多数流体包裹体的气相成分为 H2O,少数为 CO2。因此,次麦铅锌银多金属矿床的成矿流体主要由H2O组成。
4.4 H-O同位素元素
石英 H-O 同位素测试结果如表3,10 件样品中的石英 δD 范围为-12.9‰~-25.4‰,平均-21.5‰, δ18O值介于6.9‰~17.6‰,平均10‰。
5包裹体镜下特征照片
a—矽卡岩阶段绿帘石富气相椭圆状包裹体(V+L);b—矽卡岩阶段绿帘石中富液相椭圆状包裹体(V+L);c—矽卡岩阶段绿帘石中富液相包裹体(V+L),包裹体有明显的拖尾;d—Ⅰ阶段石英中富气相纺锤状包裹体(V+L);e—Ⅰ阶段闪锌矿中富液相椭圆状包裹体;f—Ⅰ阶段闪锌矿中富液相长条状包裹体(V+L);g—Ⅱ阶段石英中富液相不规则状包裹体(V+L)和长条状纯液相包裹体(L);h—Ⅱ阶段方解石中富液相椭圆状包裹体(V+L);i—Ⅱ阶段石英中气液两相包裹体(V+L)
2次麦铅锌银多金属矿床流体包裹体显微测温结果及参数
6次麦铅锌银多金属矿床流体包裹体激光拉曼图谱
a—碳酸盐阶段(Ⅱ)石英中的气液两相包裹体;b—碳酸盐阶段(Ⅱ)石英中的气液两相包裹体;c—碳酸盐阶段(Ⅱ)石英中的气液两相包裹体; d—碳酸盐阶段(Ⅱ)石英中的气液两相包裹体
3H-O同位素分析结果
5 讨论
5.1 成矿流体性质
本文采用 Hall et al.(1988)提出的经验公式对盐度进行计算,盐度<23.3% NaCleqv 的 L+V 包裹体 (Tmice>-21.2℃)盐度计算公式为:
w=0.00+1.78Tm,ice-0.0442Tm,ice2+0.000557Tm,ice3
(1)
式(1)中,w为NaCl的质量分数,单位:%NaCleqvTmice为冰点温度,单位:℃。
根据上述公式计算得到的盐度,结合均一温度,采用邵洁涟和邱朝霞(1988)提出的经验公式对成矿压力进行计算。所用公式为:
P=P0×Th/Th0P0=219+2620ωTh0=374+920ω
(2)
式(2)中,P 为压力,单位:bar;ω 为盐度,单位:%NaCleqv
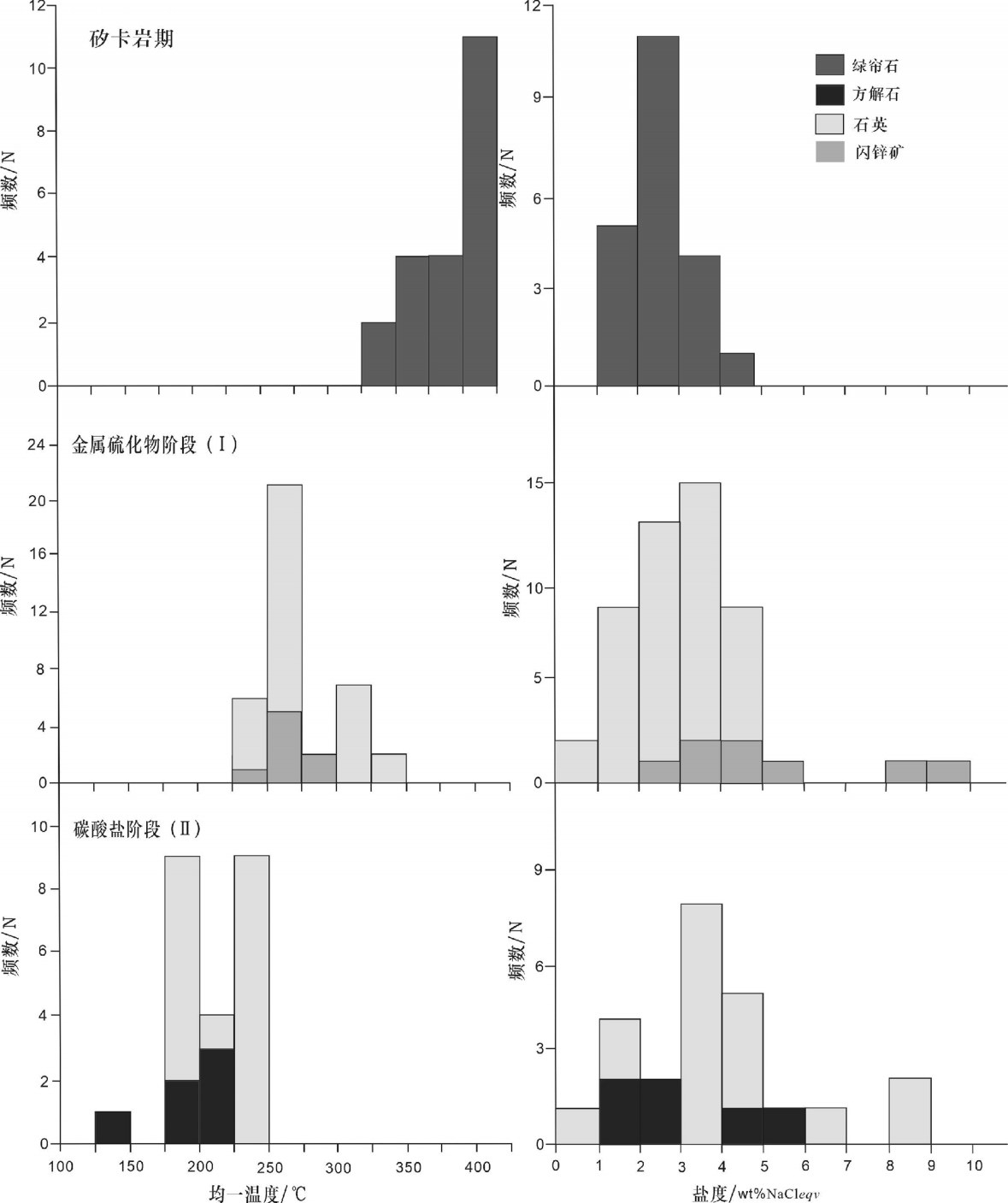
矽卡岩阶段:该阶段发育有Ⅰa型富液相(L+V) 和Ⅰb型富气相(V+L),其中气液两相包裹体均一温度为332.0~429.4℃,峰值温度为360.0~420℃,平均值 395℃;冰点温度为-0.9~-2.4℃,对应的盐度分布范围在 1.6%~4.0% NaCleqv,平均值为 2.5% NaCleqv;对应计算出的流体压力范围为 830.1~1089.1 bar,平均值为993.1 bar。
金属硫化物阶段(Ⅰ):该阶段主要为Ⅰa 型富液相(L+V)包裹体,均一温度范围在227~337.2℃,峰值温度为 250.0~275.0℃,平均值为 274.3℃;冰点为-0.5~-6.2℃,盐度分布范围为 0.9%~9.8% NaCleqv,平均值为3.2% NaCleqv;对应的流体压力范围为555.0~939.7 bar,平均值为699.2 bar。
碳酸盐阶段(Ⅱ):该阶段主要发育有Ⅰa 型富液相(L+V)包裹体和少量Ⅱ型纯液相包裹体。其中气液两相包裹体均一温度为 145.3~240.8℃,峰值温度为175~225℃,平均值为203.6℃;冰点温度为-0.4~-6.8℃,对应计算出的盐度分布范围为 0.7%~10.2% NaCleqv,均值为3.6% NaCleqv;对应的压力值为362.2~648.4 bar,平均值为530.8 bar。
流体包裹体显微测温结果表明(表2图7)次麦铅锌银多金属矿床成矿流体整体为中高温、低盐度、中高等压力的流体,但不同演化阶段的流体性质不同,矽卡岩期为高温低盐度流体,在金属硫化物阶段较矽卡岩阶段温度显著降低,矽卡岩期到金属硫化物期压力值从平均 993.1 bar 急剧降低到 699.2 bar,碳酸盐阶段较金属硫化物阶段温度、盐度均降低。在均一温度-压力关系图中(图8),均一温度与压力值呈良好的正相关性。
值得注意的是金属硫化物阶段(Ⅰ)中闪锌矿中的包裹体均一温度为 244.3~278.3℃,均值 261.6℃,盐度为 2.4%~9.8% NaCleqv,均值为 5.2% NaCleqv;石英中包裹体均一温度为227.0~337.2℃,均值为 276.5℃,盐度为 0.9%~4.7% NaCleqv,均值为 2.9% NaCleqv。闪锌矿包裹体与石英包裹体均一温度相近,但闪锌矿中包裹体盐度明显高于石英包裹体盐度,结合δD-δ18OH2O图解(图9)可知成矿流体在演化过程中有多种流体的加入,本文认为造成闪锌矿中的较高盐度可能为外来的高盐度含矿热液的混合,流体的不混溶作用可能是成矿物质沉淀的机制之一。根据激光拉曼成分分析显示,气液两相包裹体的液相成分均为H2O,气相成分以H2O为主,仅有一个包裹体气相成分为 CO2,本文认为成矿流体可能为简单的H2O-NaCl体系。
7次麦铅锌银多金属矿床各成矿阶段流体包裹体均一温度和盐度频数图
8次麦铅锌银多金属矿床均一温度-压力(a)和盐度-压力(b)散点图
5.2 成矿流体来源
成矿流体来源可分为大气降水、海水、建造水、岩浆热水、变质水等(翟裕生等,2011康鸿杰等, 2020)。氢同位素是一种广泛应用的成矿流体来源示踪方法,不同来源流体的同位素组成存在显著差异(White,1974李秋金等,2023)。
本文收集了区域上的铅锌矿床研究资料,有扎西康铅锌多金属矿床、柯月铅锌多金属矿床、吉松铅锌矿床、夏隆岗铅锌矿床,以研究其 H-O 同位素组成(表3)对比与次麦铅锌银多金属矿床H-O同位素组成的异同,探讨其流体来源。其中扎西康铅锌多金属矿床中石英及菱锰矿的 δD 值-103.6‰~-164‰,平均值为-142‰,δ18OH2O 为-9.8‰~10.2‰,平均值为-2.1‰(朱黎宽,2011Xie et al.,2017),同位素组成指示成矿流体来自大气降水补给的地热水(朱黎宽,2011);柯月铅锌多金属矿床中菱锰矿、石英和方解石的 δD 值-93.4‰~-124‰,平均值为-108.4‰,δ18OH2O为3.3‰~7.8‰,平均值为6‰,显示 δ18OH2O 变化范围较大,可能是成矿流体与地层发生长时间的氧同位素交换所导致,同位素组成指示成矿流体具有岩浆热液来源并具有大气降水的特征 (曾鸿和藏南,2020);吉松铅锌矿床中石英的 δD 值-119‰~-149‰,平均值为-127.5‰,δ18OH2O 为 7.8‰~9.4‰,平均值为 8.4‰,同位素组成指示成矿流体以岩浆热液为主并混有少量大气降水(贾腾,2018);夏隆岗铅锌矿床中石英的 δD 值-114‰~-129.5‰,平均值为-124.5‰,δ18OH2O 为 11.5‰~12.5‰,平均值为 12.1‰,δD 和 δ18OH2O 变化范围极小,同位素组成指示成矿流体主要来自岩浆热液并混有少量大气降水(刘宇奇,2021)。柯月,吉松,夏隆岗铅锌矿床的 H-O 同位素组成特征与其在 δD-δ18OH2O图解投图(表3图9)可知δD值变化范围均较大,δ18OH2O均较稳定变化范围极小,且全都落在建造水范围内,均指示流体来源主要为岩浆热液和大气降水。扎西康铅锌多金属矿床的 δD 和 δ18OH2O值变化范围均较大,显示为不同流体混合的特征,δ18OH2O 出现明显偏移可能与其成矿流体与地层发生长期较强烈的δ18OH2O交换反应有关。
δD-δ18OH2O 图解(图9)可知次麦铅锌银多金属矿矿石石英 δD 值为-12.9‰~-25.4‰,平均-21.5‰,均高于区域上的铅锌矿床,δ18OH2O 介于 4.8‰~17.6‰,平均8.8‰,与扎西康δ18OH2O值的变化范围较为一致。次麦铅锌银多金属矿矿石石英Ⅰ 阶段中流体的 δD 值为-20.6‰~-12.9‰,均值为-16.5‰,和δ18OH2O值均在岩浆水和变质水的范围附近,推测早期流体与富δD的沉积地层发生水岩反应导致其 δD 值较高,Ⅰ阶段整体 δD 值变化范围窄,δ18OH2O变化范围较大,结合δD-δ18OH2O图解投点有向大气降水方向偏移的趋势,表明成矿早期流体主要以变质流体为主并可能与富 δD 沉积地层发生充分水岩反应。Ⅱ阶段的 δD 值为 25.4‰~24.1‰,均值为24.8‰,与δ18OH2O值均较Ⅰ阶段降低,且十分集中的全落在雨水线上,表明此阶段的流体以大气降水为主。此外,在 δD-δ18OH2O图解中,次麦铅锌银多金属矿床的投点Ⅰ、Ⅱ阶段整体大致构成一条斜率明显缓于大气降水的近水平的演化线,结合包裹体显微测温数据可知寄生在闪锌矿中的包裹体盐度范围为 2.4%~9.8% NaCleqv,均值 5.2% NaCleqv,明显高于其他阶段中包裹体盐度,在次麦铅锌银多金属矿床温度-盐度与矿床类型图解中,绝大部分数据点落在热液型矿床范围中(图9),由此可知在成矿 Ⅰ阶段有外来较高盐度含矿热液的加入。
综合分析认为成矿流体的混合作用和大气降水的大量加入可能是金属物质沉淀的主要机制,成矿流体早期主要来自变质流体,后期有含矿热液和大气降水的加入。
9次麦铅锌多金属矿床流体的δD-δ18OH2O图解(据Hedenquist et al.,1994修改)
5.3 成矿预测与展望
通过对次麦铅锌银多金属矿床中流体包裹体的研究可以发现其与区域上受穹隆构造控制的铅锌多金属矿床的流体包裹体特征并不相同,区域上的铅锌多金属矿床中流体包裹体中显示流体来源主要为岩浆热液和大气降水,而次麦铅锌银多金属矿床中流体包裹体的流体来源主要为变质流体、含矿热液、大气降水。根据次麦铅锌银多金属矿床的产出位置推测在库拉岗日穹隆滑脱系中的矽卡岩和伟晶岩(图2)具有较大的铅锌多金属和稀有金属找矿前景。
目前在与研究区相邻的扎西康错那洞穹隆构造中已发现错那洞铍-锡-钨多金属矿床(李光明等,2017)、扎西康铅锌锑多金属矿床(张建芳, 2011)、吉松铅锌多金属矿床(洛桑尖措,2021)、夏隆岗铅锌矿(刘宇奇,2021)等多处金属矿床(表4)。库拉岗日穹隆中次麦铅锌银多金属矿床的发现(付建刚等,2022)与其北东侧嘎波伟晶岩型锂矿(李光明等,2022)的发现再次印证了在喜马拉雅穹隆构造中具有对铅锌多金属型矿床和稀有金属矿床巨大的找矿前景,应加大对喜马拉雅穹隆的地质普查和找矿勘探投入,有望找到更多具有经济和科研价值的铅锌多金属及稀有金属矿床。
4次麦铅锌银多金属矿床与区域其他矿床对比
6 结论
(1)激光拉曼分析结果显示次麦铅锌银多金属矿床中石英气液两相包裹体液相成分主要为 H2O,气相成分主要为 H2O,成矿流体可能为简单的 H2O-NaCl体系。早期主要发育气液两相包裹体,中后期发育气液两相包裹体,同时可见纯液相包裹体。金属硫化物阶段均一温度范围在 227~337.2℃,平均值为274.3℃,盐度分布范围为0.9%~9.8% NaCleqv,平均值为 3.2% NaCleqv,流体压力平均值为 699.2 bar。成矿流体整体具有中高温、低盐度、中高压力的特点。
(2)本文认为成矿流体的混合作用和大气降水的大量加入是次麦铅锌银多金属矿床金属物质沉淀的主要机制,成矿流体早期为与富δD的沉积地层发生水岩反应的变质流体,后期为含矿热液加入的混合流体。
致谢  在野外工作中得到了中国地质调查局成都地质调查中心张海工程师、吴建阳工程师的热心帮助和指导,在核工业北京地质研究院分析测试研究中心的协助下完成了石英的 H-O 同位素组成分析,在此一并表示衷心的感谢!
1喜马拉雅成矿带东段构造地质简图(据李光明等,2022修改)
2次麦铅锌银多金属矿床矿区地质图(据付建刚等,2022
3次麦铅锌银多金属矿床矿石类型与典型矿物显微照片
4各成矿阶段热液脉穿插关系与典型矿物显微照
5包裹体镜下特征照片
6次麦铅锌银多金属矿床流体包裹体激光拉曼图谱
7次麦铅锌银多金属矿床各成矿阶段流体包裹体均一温度和盐度频数图
8次麦铅锌银多金属矿床均一温度-压力(a)和盐度-压力(b)散点图
9次麦铅锌多金属矿床流体的δD-δ18OH2O图解(据Hedenquist et al.,1994修改)
1次麦铅锌银多金属矿床矿物生成顺序
2次麦铅锌银多金属矿床流体包裹体显微测温结果及参数
3H-O同位素分析结果
4次麦铅锌银多金属矿床与区域其他矿床对比
Hall D L, Sterner S M, Bodnar R J. 1988. Freezing point depression of NaCl-KCl-H2O solutions[J]. Economic Geology, 83: 197-202.
Hedenquist A J W, Lowenstern J B. 1994. The role of magmas in the formation of hydrothermal ore deposits[J]. Nature, 370(6490): 519-527.
Huang Y, Cao H W, Li G M. 2018. Middle-late Triassic bimodal intrusive rocks from the Tethyan Himalaya in South Tibet: Geochronology, petrogenesis and tectonic implications[J]. Lithos, (318/319): 78-90.
Lee J, Christian H, Simon R W, Daniel F S, Martin J, Aoya M, Wang Y. 2011. Middle to late Miocene extremely rapid exhumation and thermal reequilibration in the Kung Co Rift, southern Tibet[J]. Tectonics, 30(2): 1-26.
Roedder E. 1984. Fluidinclusions[M]//Ribe P H(ed.). Reviews in Mineralogy (Volume 12). Washington: Mineralogical Society of America, 1-644.
Wang G W, Lu Z W, Li W H, Xue S, Wang Y Z, Chen S, Cai W. 2022. Surface wave imaging using deep reflection seismic data: A study on the Cuonadong dome[J]. Earth, Planets and Space, 74(1): 403-401.
White E D. 1974. Diverse origins of hydrothermal ore fluids[J]. Economic Geology, 69(6): 954-972.
Xie Y L, Li L M, Wang B G, Li G M, Liu H F, Li Y X, Dong S L, Zhou J J. 2017. Genesis of the Zhaxikang epithermal Pb-Zn-Sb deposit in southern Tibet, China: Evidence for a magmatic link[J]. Ore Geology Reviews, 80: 891-909.
陈思雨, 张波, 张进江, 王洋, 张磊, 李晓蓉, 黄保有, 闫岩. 2022. 构造岩碳物质拉曼光谱温度计与石英组构对造山带热演化的约束: 北喜马拉雅然巴片麻岩穹窿研究实例[J]. 岩石学报,38(4):1081-1106.
陈毓川. 1999. 中国主要成矿区带矿产资源远景评价[M]. 北京: 地震出版社,451-505.
丁悌平. 1994. 稳定同位素地球化学研究新况[J]. 地学前缘,1(4):191-198.
董磊, 李光明, 王燚等, 王向平, 曹华文, 黄波. 2020. 藏南雅拉香波穹窿角闪片岩的年代学、地球化学及地质意义[J]. 矿物学报,40 (5):556-568.
付建刚, 李光明, 王根厚, 黄勇, 张林奎, 董随亮, 梁维. 2018. 北喜马拉雅双穹隆构造的建立: 来自藏南错那洞穹隆的厘定[J]. 中国地质,45(4):783-802.
付建刚, 李光明, 董随亮, 张海, 郭伟康, 张林奎, 张小琼, 焦彦杰. 2020. 西藏北喜马拉雅拉隆穹窿含 Be、Nb、Ta 钠长石花岗岩的识别及意义[J]. 沉积与特提斯地质,40(2):91-103.
付建刚, 李光明, 王根厚, 董随亮, 张海, 郭伟康, 张林奎, 张小琼, 焦彦杰. 2021. 西藏拉隆穹窿地质特征和Be-Nb-Ta稀有金属矿化的厘定及其战略意义[J]. 大地构造与成矿学,45(5):913-933.
付建刚, 李光明, 郭伟康, 张海, 董随亮, 张林奎, 李应栩, 马国桃, 焦彦杰. 2022. 西藏库拉岗日穹窿次麦矽卡岩型锡铁铅锌多金属矿的发现及其意义[J]. 大地构造与成矿学,48(4):5-11.
郭伟康, 李光明, 付建刚, 张海, 张林奎, 吴建阳, 董随亮, 杨玉林. 2023. 喜马拉雅成矿带嘎波伟晶岩型锂矿成矿时代、岩浆演化及成矿指示意义[J]. 地学前缘,30(5):275-297.
侯增谦, 王二七. 2008. 印度-亚洲大陆碰撞成矿作用主要研究进展[J]. 地球学报,29(3):275-292.
侯增谦. 2008. 印度与亚洲大陆主碰撞带成矿作用[M]. 北京: 中国地质科学院矿产资源研究所,11-15.
侯增谦. 2010. 大陆碰撞成矿论[J]. 地质学报,84(1):30-58.
贾腾. 2018. 特提斯喜马拉雅成矿带吉松铅锌矿床成矿作用研究[D]. 北京: 中国地质大学(北京).
康鸿杰, 周超, 宋学兵, 徐茂文, 刘晓煌, 宁娜. 2020. 北祁连西段金佛寺岩体接触带青大坂钨钼矿流体包裹体特征及成矿流体演化[J]. 矿产勘查,11(9):1882-1893.
李光明, 张林奎, 焦彦杰, 夏祥标, 董随亮, 付建刚, 梁维, 张志, 吴建阳, 董磊, 黄勇. 2017. 西藏喜马拉雅成矿带错那洞超大型铍锡钨多金属矿床的发现及意义[J]. 矿床地质,36(4):1003-1008.
李光明, 付建刚, 郭伟康, 张海, 张林奎, 董随亮, 李应栩, 吴建阳, 焦彦杰, 金灿海, 黄春梅. 2022. 西藏喜马拉雅成矿带东段嘎波伟晶岩型锂矿的发现及其意义[J]. 岩石矿物学杂志,41(6):1109-1119.
李秋金, 孙学娟, 聂顺义, 金鑫, 吴志强. 2023. 福建梅仙铅锌矿床流体包裹体研究[J]. 矿产勘查,14(9):1570-1583
梁维, 李光明, 巴桑元旦, 张林奎, 付建刚, 黄勇, 张志, 王艺云, 曹华文. 2021. 喜马拉雅带片麻岩穹窿成矿作用——以扎西康矿集区错那洞穹窿为例[J]. 矿床地质,40(5):932-948.
刘宇奇. 2021. 藏南夏隆岗铅锌矿床地质特征与成矿物源[D]. 成都: 成都理工大学.
卢焕章, 范宏瑞, 倪培. 2004. 流体包裹体[M]. 北京: 科学出版社,1-487.
洛桑尖措. 2021. 西藏山南吉松铅锌矿床勘查模型与成矿预测[D]. 成都: 成都理工大学.
莫宣学, 潘桂棠. 2006. 从特提斯到青藏高原形成: 构造-岩浆事件的约束[J]. 地学前缘,13(6):43-51.
邵洁涟, 邱朝霞. 1988. 宁夏金场子渗流热卤水—表生改造型金矿床的找矿矿物学[J]. 黄金地质科技,(4):24-26.
王根厚, 周详, 曾庆高, 普布次仁. 1997. 西藏康马热伸展变质核杂岩构造研究[J]. 成都理工学院学报,(2):66-71.
尹安. 2001. 喜马拉雅—青藏高原造山带地质演化-显生宙亚洲大陆生长[J]. 地球学报,22(3):193-230.
曾鸿, 藏南. 2020. 扎西康锑多金属矿田成矿流体研究[D]. 成都: 成都理工大学.
翟裕生, 姚书振, 蔡克勤. 2011. 矿床学(第三版)[M]. 北京: 地质出版社,417.
张建芳. 2011. 北喜马拉雅扎西康铅锌锑银矿床成因研究[D]. 武汉: 中国地质大学(武汉).
张敏, 张建锋, 李林强, 邱林飞. 2007. 激光拉曼探针在流体包裹体研究中的应用[J]. 世界核地质科学,46(4):238-244.
朱弟成, 夏瑛, 裘碧波, 王青, 赵志丹. 2013. 为什么要提出西藏东南部早白垩世措美大火成岩省[J]. 岩石学报,29(11):3659-3670.
朱黎宽. 2011. 西藏扎西康铅锌锑多金属矿床地质特征及流体包裹体研究[D]. 北京: 中国地质大学(北京).