碱厂岩体碱长花岗岩年代学、岩石地球化学特征及其地质意义
doi: 10.20008/j.kckc.202507001
赵奎1,2 , 张德富3 , 陈士海1,2 , 吕鑫1,2 , 吴之正1,2
1. 江西省地质调查勘查院基础地质调查所,江西 南昌 330013
2. 江西有色地质矿产勘查开发院,江西 南昌 330013
3. 江西应用技术职业学院 自然资源部离子型稀土资源与环境重点实验室,江西 赣州 341000
基金项目: 本文受江西省自然资源厅科技创新项目(ZRKJ20232526;ZRKJ20232411)和自然资源部离子型稀土资源与环境重点实验室开放基金课题(2022IRERE103;2023IRERE106)联合资助
Chronology, petrogeochemical characteristics and geological significance of potassium feldspar granite in the Jianchang pulton
ZHAO Kui1,2 , ZHANG Defu3 , CHEN Shihai1,2 , LYU Xin1,2 , WU Zhizheng1,2
1. Basic Geology Survey Institute, Geological Survey and Exploration Institute of Jiangxi Province, Nanchang 330013 , Jiangxi, China
2. Jiangxi Nonferrous Geological Exploration and Development Institute, Nanchang 330013 , Jiangxi, China
3. Key Laboratory of Ionic Rare Earth Resources and Environment, Ministry of Natural Resources, Jiangxi College of Applied Technology, Ganzhou 341000 , Jiangxi, China
摘要
辽西地区位于华北克拉通东北缘,受太平洋板块俯冲影响,中生代发生强烈构造-岩浆活动,形成大量花岗岩侵入体及钼多金属矿床。本文以碱厂碱长花岗岩为研究对象,通过岩相学、地球化学及锆石U-Pb年代学(155.8±0.7 Ma)分析,揭示其形成于晚侏罗世,与区域辉钼矿 Re-Os 年龄(185~150 Ma)吻合。岩石具高硅(SiO2=71.27%~77.10%)、富碱(Na2O+K2O=7.82%~8.87%)、过铝质特征,属高钾钙碱性 I 型花岗岩,轻稀土富集(LREE/HREE=8.42~19.04)及铕负异常(δEu=0.36~0.77)指示强烈结晶分异。地球化学判别显示岩浆源于壳幔混熔,并受板片流体交代。区域构造分析表明,钼矿化与晚侏罗世陆内造山背景下深部流体活动及北东向断裂控矿密切相关,为辽西钼矿勘探提供理论依据。
Abstract
The western Liaoning region is situated at the northeastern margin of the North China Craton. Influenced by the subduction of the Pacific Plate, intense Mesozoic tectono-magmatic activities occurred, leading to the formation of numerous granitic intrusions and Mo-polymetallic deposits. This study focuses on the potassium feldspar granite from the Jianchang Pluton. Through petrographic, geochemical, and zircon U-Pb geochronological analyses (155.8±0.7 Ma), it is revealed that the granite was emplaced during the Late Jurassic, consistent with regional molybdenite Re-Os ages (185-150 Ma). The rocks exhibit high silica (SiO2=71.27%-77.10%), alkali-rich (Na2O+K2O=7.82%-8.87%), and peraluminous characteristics, belonging to high-K calc-alkaline I-type granites. Light rare earth element (LREE) enrichment (LREE/HREE=8.42-19.04) and pronounced negative Eu anomalies (δEu=0.36-0.77) indicate significant fractional crystallization. Geochemical discrimination suggests that the magma originated from crust-mantle mixing and was metasomatized by slab-derived fluids. Regional tectonic analysis demonstrates that Mo mineralization is closely associated with deep-seated fluid activity and NE-trending fault-controlled mineralization under a Late Jurassic intracontinental orogenic setting, providing theoretical insights for Mo exploration in western Liaoning.
0 前言
辽西地区位于华北克拉通东北缘,太平洋板块向欧亚大陆的持续俯冲作用,导致原本稳定的华北克拉通在中新生代经历了显著的构造活化。这一深部动力学过程不仅引发了岩石圈的大规模改造与增生,更促使岩石圈厚度显著减薄,形成大量花岗岩侵入体(崔芳华等,2020)。近年来,在辽西地区发现了大量的钼矿床,其中主要有:杨家杖子(大型)(方俊钦等,2012)、兰家沟(中型)(代军治等,2008)和新台门(中型)钼矿床、肖家营子(中型)(蒋振和等, 2012)、北松树卯(中型)、钢屯(中型)、老虎洞(中型) (刘晓林等,2009)、新宾沃谷(中型)和穷棒子沟(中型)钼矿床(蓝海洋,2016)和宽甸—万宝沟(中型)钼矿床(梁帅等,2013),成矿时代均为侏罗纪(190~110 Ma),矿床类型以斑岩型(李明等,2021)、矽卡岩型和岩浆-热液型为主(陈维甫等,2011),说明辽西地区具有巨大的钼多金属找矿潜力。
碱厂乡于家屯地区钼矿化点是辽西地区具有工业价值的钼矿床。矿区内主要发育碱厂岩体,钼矿体主要赋存于钾长花岗岩及围岩接触带中。为了厘清碱厂花岗岩体的岩石成因、形成时代及其对成矿的影响,本研究基于野外地质调查工作,对碱厂岩体钾长花岗岩开展了系统的室内分析,包括岩相学鉴定、岩石地球化学测试及同位素年代学测定,同时整合区域构造演化特征及已有研究成果进行综合论证。探讨碱厂岩体的成岩时代、岩石成因及对钼成矿影响等问题,对今后辽西地区钼矿找矿工作具有重要指导意义。
1 区域地质特征
碱厂岩体位于华北地台北缘山海关隆起与北票内陆断陷接壤部位(图1a)。区内地层出露简单,从老到新为中元古界蓟县系雾迷山组、古生界下奥陶统及第四系。区内受八家子—杨杖子东西向构造带影响,形成东西向,北东向和南北向构造断裂体系(李春成等,2008),该构造运动是形成叨尔噔—虹螺山钼多金属成矿带的重要因素(梁帅, 2016)。中生代时期,研究区域在太平洋板块向欧亚大陆俯冲的动力作用下,经历了显著的构造-岩浆活化过程。这一板块汇聚过程引发了区域性的地壳变形和频繁的岩浆侵入事件(刘芸秀等, 2025),形成的岩体呈岩基状大面积出露,主要有中侏罗世第一阶段石英二长闪长岩;第二阶段肉红色中粗粒花岗岩或似斑状花岗岩及晚侏罗世中粒、细粒黑云母花岗岩(图1b)。
2 样品采集与分析测试方法
本研究系统采集了碱厂岩体9件肉红色中—粗粒钾长花岗岩样品。锆石分选、靶体制备及显微照相工作委托廊坊市辰昌岩矿检测技术服务有限公司完成。锆石 U-Pb同位素定年分析在东华理工大学核资源与环境重点实验室进行,采用Agilent 7900 型电感耦合等离子体质谱仪(ICP-MS)联用 Geo‐ LasHD激光剥蚀系统,激光束斑直径设定为 32 µm,具体实验方法遵循张德富等(2024)建立的流程。全岩主微量元素地球化学分析由澳实分析检测(广州)有限公司承担:主量元素通过XRF测定;微量元素采用 ICP-MS 分析,全岩主微量元素分析流程参照李高峰等(2016)的方法执行。
1辽西地区构造纲要图(a)及碱厂岩体区域地质图(b)
1—第四系;2—花岗斑岩;3—燕山早期第二阶段第一次侵入花岗岩;4—燕山早期第二阶段第三次侵入花岗岩;5—燕山早期第二阶段第二次侵入花岗岩;6—燕山早期第二阶段第二次侵入花岗闪长岩;7—燕山早期第二阶段第三次侵入花岗闪长岩;8—辉绿岩脉;9—正长斑岩;10— 断层;11—采样位置
2碱厂岩体手标本和镜下照片
a—肉红色钾长花岗岩;b—黑云母发生绿泥石化;c—他形石英;d—条纹长石发育条纹结构,表面发生弱黏土化;e—钾长石;f—斜长石发育聚片双晶,表面发生弱绢云母化;Qtz—石英;Pl—斜长石;Pth—条纹长石;Chl—绿泥石;Kfs—钾长石;Bt—黑云母;Ser—绢云母
3 测试结果
3.1 岩石学特征
岩相学研究表明,碱厂岩体 9 件钾长花岗岩样品呈肉红色(图2a),岩石整体发生弱黏土化、绢云母化和弱绿泥石化(图2b)。岩石主要组成矿物为石英(含量约 46%,图2c)、钾长石(含量约 29%,图2d~e)、斜长石(含量约11%,图2f)和黑云母(含量约 4%,图2d),副矿物常见锆石、磷灰石等。
3.2 主量元素特征
碱厂岩体9件钾长花岗岩主量元素数据见表1:样品具高硅 (SiO2=71.27%~77.10%),富铝 (12.07%~15.16%) 和碱 (Na2O+K2O=7.82%~8.87%),贫钙(CaO=0.16%~1.62%)、镁(MgO= 0.10%~0.80%)和钛(TiO2=0.09%~0.37%)的特征。岩石地球化学分析显示,样品 A/NK 值为 1.05~1.34,A/CNK 值为 1.00~1.31,在图3b中样品分布于过铝质区域内。TAS分类图解显示所有样品均落入花岗岩区域(图3a),与薄片鉴定结果相符。里特曼指数(σ=1.97~2.50)和碱度率(AR=2.36~4.52)表明岩石属于钙碱性系列,图3d显示样品具碱性特征。图3c中样品除一个落在钾玄岩系列中,其余投点都落在高钾钙碱性系列中。固结指数(SI=1.00~6.97) 与分异指数(DI=85.47~96.77)共同指示岩浆经历了较高的结晶分异作用。
3.3 微量、稀土元素特征
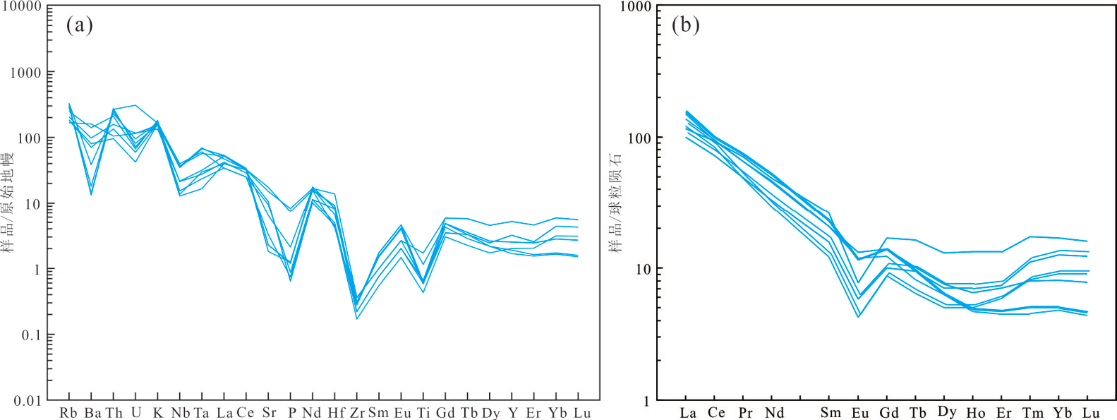
碱厂岩体9件钾长花岗岩的微量及稀土元素数据见表2。微量元素标准化配分模式(图4a)揭示样品具有显著的元素分异特征:Rb、Th、Ta、Hf、K等元素明显富集,而 Ba、Nb、Sm、Ti、P、Zr 等元素则呈现显著亏损。这种分布与岛弧造山带花岗岩的典型特征一致(谢玉玲等,2012鹿献章等,2017)。
1碱厂岩体主量元素分析结果(%)
注:测试单位为澳实分析检测(广州)有限公司,测试时间为2024年5月。
3碱厂岩体主量元素相关图解
a—TAS图解(底图据lrvine and Baragar,1971);b—A/NK-A/CNK图解(底图据Maniar and Piccoli,1989);c—SiO2-K2O图解(底图据Peccerillo and Taylor,1976);d—SiO2-AR图解(底图据Wright,1969)。图3a中Ir分界线上方为碱性,下方为亚碱性;1—橄榄辉长岩;2a—碱性辉长岩; 3—辉长闪长岩;4—闪长岩;5—花岗闪长岩;6—花岗岩;7—硅英岩;8—二长辉长岩;9—二长闪长岩;10—二长岩;11—石英闪长岩;12—正长岩;13—副长石辉长岩;14—副长石二长岩;15—副长石二长正长岩;16—副长正长岩;17—副长深成岩;18—霓方钠岩/磷霞岩/粗白榴岩
稀土元素地球化学特征显示(表2),样品稀土总量较低且变化幅度小(ΣREE=99.44×10-6~138.95×10-6),呈现明显的轻稀土富集(LREE= 90.85×10-6~132.02×10-6)和重稀土亏损(HREE= 6.47×10-6~14.07×10-6)特征,轻重稀土比值(LREE/ HREE=8.42~19.04)和 LaN/YbN 比值(6.82~31.12) 表明分馏作用显著。球粒陨石标准化配分曲线表现为向右陡倾型(图4b),具有明显的铕负异常(δEu =0.36~0.77),反映斜长石分离结晶作用强烈(Roll‐ inson,1993),有利于成矿物质的迁移富集;铈异常不明显(δCe=0.86~1.00),暗示岩石可能形成于弱酸性—弱氧化环境或经历了轻度风化蚀变作用(蔺新望等,2019赵海波等,2024)。
4碱厂岩体微量元素原始地幔标准化图(a)和稀土元素球粒陨石标准化图(b)(标准化数据引自Sun and Mc Donough,1989
2碱厂岩体微量、稀土元素分析结果(10-6
注:测试单位为澳实分析检测(广州)有限公司,测试时间为2024年5月。
3.4 锆石U-Pb年代学
本文选取碱厂岩体钾长花岗岩的锆石进行 U-Pb 定年分析,锆石整体呈透明至浅褐色,大多数呈自形—半自形柱状双锥状,均具有典型岩浆锆石的震荡环带结构(图5),且锆石的 Th/U 比值介于 1.09~4.65,均大于 0.4,表明锆石为岩浆成因(雷玮琰等,2013)。
锆石测年结果见表3,30 个有效测年数据绝大多数分布于 U-Pb 协和曲线上(图6a),加权平均年龄为(155.8±0.7) Ma,MSWD=1.3(n=30)(图6b)。表明碱厂岩体的钾长花岗岩形成于晚侏罗世。
5碱厂岩体锆石CL照片
6碱厂岩体U-Pb协和图(a)和加权平均年龄(b)
3碱厂岩体锆石U-Pb年代学分析结果
注:测试单位为东华理工大学核资源与环境重点实验室,测试时间为2025年1月。
4 讨论
4.1 成岩时代
碱厂岩体的钾长花岗岩年龄为(155.8±0.7) Ma,表明其形成于晚侏罗世。该成岩时代与叨尔噔—虹螺山钼多金属成矿带内辉钼矿 Re-Os 同位素年龄(185~150 Ma,储少雄等,2010)相吻合,表明其形成于晚侏罗世时期。辽西地区同期发育大量岩浆—热液型及斑岩型钼矿床(郭彬等,2013),包括早侏罗世的杨家杖子(大型)、兰家沟(中型)和新台门(中型)钼矿,中侏罗世的肖家营子、北松树卯、钢屯、老虎洞、新宾沃谷及穷棒子沟等中型钼矿床以及晚侏罗世的宽甸—万宝沟中型钼矿(图7)。这些矿床均与中—浅层花岗岩侵入体密切相关,反映辽西地区侏罗纪存在大规模成岩成矿事件,与中国北方中生代 200~160 Ma(代军治,2008梁帅, 2016)、140 Ma(方俊钦等,2012代连铎,2015)和 130~110 Ma(储少雄等,2010)主要成矿期一致。
7辽西地区中生代钼矿床形成时代
8主要氧化物与SiO2相关性图解
9岩石类型与源区性质判别图解
a—SiO2-Ce图解(底图据Collins et al.,1982);b—Zr-Zr/Sm图解(底图据Bottinga et al.,1978);c—(LaN/YbN)-YbN图解(底图据Sun and Mc‐ Donough,1989);d—(K2O+Na2O)/CaO-(Zr+Nb+Ce+Y)图解(底图据Whalen et al.,1987
4.2 岩石类型与源区性质
4.2.1 岩石类型
岩石地球化学特征表明:该岩体具有高硅铝、低镁铁的特征,SiO2与P2O5、TiO2、MgO及CaO呈现显著的负相关性(图8),且元素演化趋势较为一致,指示岩浆演化以结晶分异作用为主导。Zr/Hf 比值是表征花岗岩结晶分异程度和熔体-流体相互作用的有效地球化学指标(Irber,1999)。研究表明,该比值与岩浆演化程度呈负相关关系,即随着岩浆分异作用的增强,Zr/Hf 值呈现系统性降低的趋势(温国珍等,2011)。研究区样品 Zr/Hf 值介于 19.43~30.10 (显著低于典型花岗岩的30~40),表明岩浆经历了高度演化。埃达克岩通常表现为高Sr低Y特征(De‐ fant and Drummond,1990),本区样品 Sr 含量为 38.10×10-6~369.00×10-6,Y 含量为 7.65×10-6~23.50×10-6,且在(LaN/YbN)-YbN图解(图9c)中均落入埃达克岩区域,证实碱厂岩体钾长花岗岩具有埃达克岩的地球化学特征。图9a中所有样品均投影于 I型花岗岩区域;图9d则显示岩石属于高分异花岗岩。综合各项地球化学特征可知,碱厂岩体钾长花岗岩具有较高的结晶分异程度,属于埃达克质高钾钙碱性I型花岗岩。
4.2.2 源区性质与演化
地球化学分析结果(表1)揭示:碱厂岩体样品的 Nb/U 比值介于 3.82~17.16(平均值为 10.35),明显低于原始地幔的 33.9,但与大陆地壳的典型值相近(3~10)(Rudnick and Fountain,1995);Sm/Nb 比值变化范围为 0.09~0.4(平均 0.22),完全处于大陆地壳的比值范围(0.17~0.25)内(温国珍等,2011)。 Zr-Zr/Sm 图解显示(图9b)样品点呈明显正相关分布特征,这一现象表明岩浆起源与岩石圈地幔的部分熔融过程密切相关。对于岛弧花岗岩而言,其形成常受俯冲带沉积物熔体或流体交代作用影响(De‐ fant and Drummond,1990):Th/Yb 比值可评估沉积物熔体的贡献度(胡鹏等,2022),而 Ba/La比值则能反映流体参与程度(杨华本等,2020)。本研究区样品的 Th/Yb 值(3.09~28.78,平均 12.82)相比 Ba/La值(2.70~40.77,平均 18.19)显示出更小的变化幅度,表明在洋壳俯冲过程中,板片流体对成岩过程的影响更为显著。Al2O3/TiO2比值可作为判别过铝质花岗岩源区熔融温度的重要地球化学参数(朱江等,2015),样品测试结果介于 37.46~133.66(均值为 88.67,除个别样品略高于 100 外,其余均小于 100),对应熔融温度高于 875℃(白宪洲等,2017)。 Q-Ab-An标准矿物投图(图10)显示,所有样品均位于 800℃和 500~3000 MPa 的温压条件下,证实了岩石形成于高温高压环境。
地球化学特征表明碱厂岩体花岗岩浆主要来源于地壳物质的部分熔融,并混有少量地幔物质,且在熔融过程中明显受到板片流体的交代作用影响。
10Q-Ab-An温压判别图(底图据Middlemost,1994修改)
11碱厂岩体花岗岩构造判别图解
a—Y-Nb图解(底图据Pearce,1996);b—Rb-(Nb+Y)图解(底图据Pearce,1996);c—Rb-(Yb+Ta)(底图据Pearce,1996);d—R1-R2(底图据 Batchrlor and Bowden,1985)
4.3 构造背景及意义
碱厂乡于家屯钼矿化点位于华北克拉通北缘东段,该区域在印支—燕山期造山运动(晚三叠世开始)中经历了强烈的构造-岩浆活动(黄雷等, 2019)。辽西拗陷与山海关隆起的过渡带发育了北东 — 东西向褶皱断裂系统(蔡永江和苗群峰, 2020),并伴随从中性到酸性的岩浆侵入序列及相关的成矿作用(崔芳华等,2020)。研究区在晚三叠世—侏罗纪处于陆内造山阶段(崔芳华等,2021),花岗岩构造判别图解显示(图11)样品点均落入火山弧花岗岩和同碰撞花岗岩区域,表明岩浆活动形成于碰撞后抬升与同碰撞构造背景。古太平洋板块向华北克拉通东缘的持续俯冲导致板片脱水,诱发幔源岩浆活动(于恒彬,2013)。这些幔源岩浆底侵加热下地壳,促使壳源物质部分熔融,并与幔源岩浆混合。岩浆上升过程中与围岩发生交代作用,萃取金属元素形成富钼花岗质流体,最终在浅部地壳聚集成矿(杨瀚文等,2018)。研究区内发育近东西向的养马甸子—八家子滑脱构造带,其南侧分布一系列北东、北西及近东西向的次级蚀变裂隙带 (郭彬等,2013),为矿液运移和沉淀提供了重要通道与容矿空间。受岩浆酸度、碱度等因素控制(胡升奇等,2013),含矿流体在上升过程中发生结晶分异,最终在有利构造部位沉淀形成矿床。
5 结论
(1)碱厂岩体钾长花岗岩的锆石 U-Pb 测年结果为(155.8±0.7) Ma,表明其形成于晚侏罗世。该年龄与辉钼矿 Re-Os同位素年龄范围一致,证实成岩与成矿作用具有同时性。
(2)碱厂岩体具有高硅、富碱的典型地球化学特征,可归类为高钾钙碱性 I 型花岗岩。轻稀土富集,重稀土亏损,这些特征共同指示岩浆经历了明显的结晶分异过程,并揭示了其壳幔混合的源区性质。
(3)碱厂乡于家屯钼矿化点的形成与早侏罗世古太平洋板块俯冲引发的壳幔相互作用密切相关。
1辽西地区构造纲要图(a)及碱厂岩体区域地质图(b)
2碱厂岩体手标本和镜下照片
3碱厂岩体主量元素相关图解
4碱厂岩体微量元素原始地幔标准化图(a)和稀土元素球粒陨石标准化图(b)(标准化数据引自Sun and Mc Donough,1989
5碱厂岩体锆石CL照片
6碱厂岩体U-Pb协和图(a)和加权平均年龄(b)
7辽西地区中生代钼矿床形成时代
8主要氧化物与SiO2相关性图解
9岩石类型与源区性质判别图解
10Q-Ab-An温压判别图(底图据Middlemost,1994修改)
11碱厂岩体花岗岩构造判别图解
1碱厂岩体主量元素分析结果(%)
2碱厂岩体微量、稀土元素分析结果(10-6
3碱厂岩体锆石U-Pb年代学分析结果
Batchelor R A, Bowden A A. 1985. Major and trace element variations in granites: The importance of source rock composition and differ-entiation processes[J]. Journal of Petrology, 26(3): 435-457.
Bottinga Y, Allegre C J, Thompson R N. 1978. Partial Melting under Spreading Ridges[M]. Philosophical Transactions of the Royal Soci-ety of London, 311(1354): 287-310.
Collins W J, Beams S D, White A J R, Chappell B W. 1982. Nature and origin of A-type granites with particular reference to southeastern Australia[J]. Contributions to Mineralogy and Petrology, 80(2): 189-200.
Defant M J, Drummond M S. 1990. Derivation of some modern arc mag-mas by melting of young subducted lithosphere[J]. Nature, 347 (6294): 662-665.
Irber W. 1999. The lanthanide tetrad effect and its correlation with K/ Rb, Zr/Hf, Nb/Ta, and Sm/Nd of evolving peraluminous granites[J]. Geochimica et Cosmochimica Acta, 63(23/24): 4115-4128.
lrvine T N, Baragar W R A. 1971. A guide to the chemical classification of the common volcanic rocks[J]. Canadian Journal of Earth Sci-ences, 8(5): 523-548.
Maniar P D, Piccoli P M. 1989. Tectonic discrimination of granitoids[J]. Geological Society of America Bulletin, 1(5): 635-643.
Middlemost E A K. 1994. Naming materials in the magma/igneous rock system[J]. Earth-Science Reviews, 37(3/4): 215-224.
Pearce J A, Harris N B W, Tindle A G. 1984. Trace element discrimina-tion diagrams for the tectonic interpretation of granitic rocks[J]. Journal of Petrology, 25(4): 956-983.
Peccerilo A, Taylor A R. 1976. Geochemistry of Eocene calc-alkaline volcanic rocks from the Kastamonu area, Northern Turkey[J]. Con-tributions to Mineralogy and Petrology, 58(1): 63-81.
Rollinson H R. 1993. Using Geochemical Data: Evaluation, Presenta-tion, Interpretation[J]. Geological Magazine, 130(6): 755-765.
Rudnick R L, Fountain D M. 1995. Nature and composition of the conti-nental crust: A lower crustal perspective[J]. Reviews of Geophysics, 33(3): 267-309.
Sun S S, McDonough W F. 1989. Chemical and isotopic systematics of oceanic basalts: Implications for mantle composition and processes[J]. Geological Society of London Special Publications, 42(1): 313-345.
Whalen J B, Currie K L, Chappell B W. 1987. A-type granites: Geo-chemical characteristics, discrimination and petrogenesis[J]. Contri-butions to Mineralogy and Petrology, 95(4): 407-419.
Wright J B. 1969. A simple alkalinity ratio and its application to ques-tions of non-orogenic granite genesis[J]. Geological Magazine, 106 (4): 370-384.
白宪洲, 文龙, 王玉婷, 伏国通. 2017. 四川省西昌盆地上三叠统白果湾组地球化学特征及其意义[J]. 中国地质调查,4(2):51-58.
蔡永红, 苗群峰. 2020. 河北省兴隆县花市钼矿地质特征及成因探讨[J]. 有色金属(矿山部分),72(4):93-98.
陈维甫, 吴玉诗, 李铸泰, 刘小平. 2011. 辽宁兴城碱厂一带金、多金属成矿地质特征及找矿前景[J]. 吉林地质,30(2):46-51.
储少雄, 曾庆栋, 刘建明, 陈伟军, 孙守恪. 2010. 辽宁葫芦岛杨家杖子钼矿田早侏罗世虹螺山杂岩体高分异I型花岗岩岩石地球化学特征及其地质意义[J]. 矿床地质,29(S1):1081-1082.
崔芳华, 徐学纯, 郑常青, 姚文贵, 施璐. 2020. 华北克拉通东部古太平洋板块俯冲与回撤作用: 来自辽西兴城地区晚中生代花岗质岩石的记录与启示[J]. 岩石学报,36(8):2463-2492.
崔芳华, 徐学纯, 郑常青, 姚文贵, 施璐, 王路远. 2021. 辽西兴城地区早侏罗世花岗质岩浆活动——华北克拉通东部古太平洋俯冲作用的响应[J]. 岩石矿物学杂志,40(2):269-287.
代军治, 毛景文, 赵财胜, 李让福, 王瑞廷, 谢桂青, 杨富全. 2008. 辽西兰家沟钼矿床花岗岩 SHRIMP锆石 U-Pb年龄及岩石化学特征[J]. 地质学报,82(11):1555-1564.
代军治. 2008. 燕辽成矿带钼(铜)矿床成矿作用及成矿动力学背景[D]. 北京: 中国地质科学院.
代连铎. 2015. 辽西葫芦岛杨钢地区钼多金属矿成矿规律与成矿预测[D]. 长春: 吉林大学.
方俊钦, 聂凤军, 张可, 刘勇, 徐备. 2012. 辽宁姚家沟钼矿床辉钼矿 Re-Os同位素年龄测定及其地质意义[J]. 岩石学报,28(2):372-378.
郭彬, 叶立生, 方铖, 王斌. 2013. 贺吉沟里钼矿床成矿地质特征及找矿方向[J]. 矿业工程,11(5):9-11.
胡鹏, 段明, 熊金莲, 曾威, 刘行, 闫国强, 魏佳琳. 2022. 内蒙古西乌旗沙尔哈达晚侏罗世 A 型花岗岩: 地球化学特征、岩石成因与动力学背景[J]. 地质通报,41(8):1394-1408.
胡升奇, 朱强, 张先进, 易顺华, 彭松柏, 周国发, 吴林波, 陈海红. 2013. 广东园珠顶铜钼矿床花岗斑岩年代学、地球化学特征及锆石Hf同位素[J]. 矿床地质,32(6):1139-1158.
黄雷, 刘池洋, 王飞龙, 吴奎, 王广源, 赵志平. 2019. 渤海海域辽西凹陷北部走滑断裂特征及地质意义[J]. 西北大学学报(自然科学版),49(2):258-267.
蒋振和, 谢本德, 孙立军, 玄力, 付庆, 施国红, 张殿华. 2012. 辽西肖家营子钼矿地质特征及成矿控制因素[J]. 矿产勘查,3(4):446-451.
蓝海洋. 2016. 辽西八百垅钼多金属矿床地质特征及成因探讨[J]. 矿产与地质,30(4):537-541.
雷玮琰, 施光海, 刘迎新. 2013. 不同成因锆石的微量元素特征研究进展[J]. 地学前缘,20(4):273-284.
李春成, 张成国, 邵广凯, 王玉波. 2008. 集安南部地区金成矿地质条件及找矿前景分析[J]. 吉林地质,27(4):43-49,65.
李高峰, 孟贵祥, 吴建, 姜彦勇, 雷银祥, 童英. 2016. 新疆东准乌须克劳格岩体LA-ICP-MS锆石U-Pb年龄、Hf同位素特征及其地质意义[J]. 地质通报,35(7):1170-1183.
李明, 王国光, 张永利, 巩恩普. 2021. 辽西蒋家屯和兰家沟钼矿的流体包裹体对比研究[J]. 东北大学学报(自然科学版),42(6):835-841.
梁帅, 翟富荣, 杨占兴, 刘敬党, 张艳飞, 杨中柱, 王忠江, 牟文君, 陈垚, 陈荣度. 2013. 辽东二棚甸子—万宝地区铜多金属矿床控矿条件分析及成矿预测[J]. 矿床地质,32(2):415-426.
梁帅, 刘敬党, 张艳飞, 翟富荣, 王刚, 贺广景. 2014. 辽西虹螺山—五指山地区钼多金属矿床控矿条件分析及成矿预测[J]. 西北大学学报(自然科学版),44(3):461-468.
梁帅. 2016. 虹螺山—五指山一带成矿岩体地球化学特征及成矿意义[J]. 西北地质,49(2):34-44.
蔺新望, 王星, 赵江林, 赵端昌, 周少伟, 袁璋. 2019. 新疆富蕴县北部金格岩体斜长花岗岩 LA-ICP-MS 锆石 U-Pb 年龄及其地质意义[J]. 地质通报,38(11):1813-1824.
刘晓林, 范平, 郑志丰, 李爱莉. 2009. 辽西杨家杖子—八家子钼多金属成矿带——典型钼矿床特征及找矿远景预测[J]. 地质与资源,18(2):110-115.
刘芸秀, 刘锦, 张大伟, 刘正宏, 程昌泉, 张洪祥, 董亚超, 张媛竹卉, 张积睿. 2025. 华北板块北缘开原地区中三叠世辉石闪长岩和晚侏罗世辉长岩的成因及构造意义[J/OL]. 地质学报,1-17,https://doi. org/10. 19762/j. cnki. dizhixuebao. 2024496.
鹿献章, 周博文, 彭智, 邱军强, 陈芳, 董婷婷, 柳丙全, 陈志红. 2017. 北淮阳东段河棚岩体地球化学特征、LA-ICP-MS 锆石 U-Pb 年龄及地质意义[J]. 华东地质,38(2):81-90.
温国珍, 亢红涛, 吴建军. 2011. 河南省豫西某钼矿花岗岩化学特征与成矿关系[J]. 内蒙古科技与经济,(1):53-55.
谢玉玲, 唐燕文, 李应栩, 李媛, 刘保顺, 邱立明, 张欣欣, 姜研岑. 2012. 浙江安吉铅锌多金属矿床岩浆侵位序列与成矿控制[J]. 岩石学报,28(10):3334-3346.
杨瀚文, 申俊峰, 魏立勇, 张振, 刘满年, 冯博鑫, 张洛宁. 2018. 西秦岭西段共和盆地周缘西功卡花岗闪长岩体锆石 U-Pb 年龄、地球化学特征及其构造意义[J]. 现代地质,32(2):316-328.
杨华本, 周传芳, 魏小勇, 段明新, 徐建鑫, 蔡艳龙. 2020. 漠河地区晚古生代—中生代花岗质岩浆作用: 对蒙古—鄂霍茨克造山带俯冲闭合的启示[J]. 地质论评,66(S1):18-20.
于恒彬. 2013. 东秦岭宁陕—镇安一带晚印支—早燕山期构造-岩浆演化与金钼成矿特征分析[D]. 西安: 长安大学.
张德富, 曹明轩, 龚兴, 龚良信, 钟文, 邱文江, 王先广. 2024. 赣南石头坪重稀土矿床赋矿母岩地质特征及成矿意义探讨[J]. 东华理工大学学报(自然科学版),47(4):338-348.
赵海波, 张倩, 王红杰, 程龙, 王鹏. 2024. 甘肃北山草湖岩体二叠纪石英闪长岩地球化学、年代学及其地质意义[J]. 矿产勘查,15 (8):1379-1390.
朱江, 吕新彪, 彭三国, 龚银杰, 邱啸飞, 肖广玲. 2015. 甘肃北山小西弓金矿区石英正长斑岩 LA-ICP-MS 锆石 U-Pb 年龄和地球化学特征[J]. 地质通报,34(8):1460-1469.