河北省平泉市大石湖萤石矿床成矿流体和矿物稀土元素特征及其对矿床成因的制约
doi: 10.20008/j.kckc.202507004
宫贯乾 , 陈杰 , 张义东 , 张文纲 , 李树朋 , 杨爱远 , 王殿良 , 刘佩欣
华北地质勘查局第四地质大队,河北 秦皇岛 066000
基金项目: 本文受河北省平泉市大石湖萤石矿成矿规律研究项目(华地勘四科[2023]第05号)资助
Characteristics of ore-forming fluids and rare earth elements of fluorite deposit in Dashihu, Pingquan City, Hebei Province and their constraints on ore genesis
GONG Guanqian , CHEN Jie , ZHANG Yidong , ZHANG Wengang , LI Shupeng , YANG Aiyuan , WANG Dianliang , LIU Peixin
Fourth Geological Brigade of North China Geological Exploration Bureau, Qinhuangdao 066000 , Hebei, China
摘要
河北省平泉市大石湖萤石矿床大地构造处于华北地台之燕山造山带的马兰峪复式背斜,宽城构造单元的东北部,平坊—桑园大断裂东部侧,矿体主要赋存在中元古界雾迷山组四段及其与洪水庄组的接触带处,受北东向断裂构造控制。本文在对该矿床地质特征研究基础上,开展矿床流体包裹体、稀土元素地球化学特征研究。流体包裹体结果显示均一温度为 124.0~198.7 ℃,主要集中在 124~170 ℃,代表了矿床成矿流体的最佳温度,表明矿床形成于低温环境;稀土元素地球化学结果显示4件萤石样品的Y/Ho比值变化很小,其范围为58.21~63.00;La/Ho比值为2.89~8.88,样品均落在 Tb/La-Tb/Ca 图解的热液成因区;萤石有弱的 Ce 负异常和 Eu 负异常;ΣREE 为 8.42×10-6 ~12.39×10-6 ,平均为 10.35×10-6 ;LREE/HREE 比值为 1.20~ 2.68,平均为 1.89;LaN/YbN比值为 1.12~3.49,平均为 2.28;δEu 为 0.81~0.98,平均为 0.86;δCe 为 0.78~0.82,平均为0.81。结合矿床地质特征,本文认为河北省平泉市大石湖萤石矿床严格受地层控制,成矿物质F和 Ca主要来源于大气降水对中酸性岩体和围岩地层的淋滤作用,矿床成因类型为低温热液型矿床。
Abstract
The geological structure of fluorite deposit in Dashihu, Pingquan City, Hebei Province is located in the northeastern part of the Kuancheng tectonic unit, in the North China Platform, Yanshan Orogenic Belt, Malanyu complex anticline, and on the eastern side of the Pingfang Sangyuan fault. The ore body is mainly located in the fourth section of the Wumishan Formation of the Middle Proterozoic and its contact zone with the Hongshuizhuang Formation, controlled by a northeast trending fault structure. On the basis of studying the geological characteristics of the deposit, the research was conducted on the fluid inclusions and geochemical characteristics of rare earth elements in the deposit in this paper. The fluid inclusions results show a uniform temperature varying from 124.0 ℃ to 198.7 ℃, mainly between 124 ℃ and 170 ℃, representing the optimal temperature for the ore-forming fluid of the deposit, indicating that the deposit was formed in a low-temperature environment. The geochemical results of rare earth elements show that the Y/Ho ratio of the four fluorite samples changes very little, ranging from 58.21 to 63.00. The La/Ho ratio is 2.89-8.88, and all samples fall within the hydrothermal genesis zone of Tb/La-Tb/Ca diagram. Fluorite exhibits weak Ce and Eu negative anomalies. ∑REE is 8.42×10-6 -12.39×10-6 , with an average of 10.35× 10-6 . The LREE/HREE ratio ranges from 1.20 to 2.68, with an average of 1.89. The LaN/YbN ratio ranges from 1.12 to 3.49, with an average of 2.28. The δEu ranges from 0.81 to 0.98, with an average of 0.86. And the δCe is 0.78- 0.82, with an average of 0.81. Based on the geological characteristics of the deposit, it is believed that the fluorite deposit in Dashihu, Pingquan City, Hebei Province is strictly controlled by geological strata. The ore-forming materials F and Ca mainly come from the leaching effect of atmospheric precipitation on the intermediate acidic rock mass and surrounding rock strata. The genesis type of the deposit is low-temperature hydrothermal type.
0 引言
萤石,又称氟石,化学成分为 CaF2,主要产于热液矿脉中。世界萤石总储量约 10 亿 t,中国是世界上萤石矿产最多的国家之一,并且占世界储量的 35%。萤石是工业上氟元素的主要来源,是世界上 20 几种重要的非金属矿物原料之一(鲍荣华和刘伟,2013)。纯净无色透明的萤石可作为光学材料,色泽艳丽的萤石亦可作为宝玉石和工艺美术雕刻原料(裴秋明,2018)。萤石又是氟化学工业的基本原料,其产品广泛用于航天、航空、制冷、医药、农药、防腐、灭火、电子、电力、机械和原子能等领域。随着科技和国民经济的不断发展,萤石已成为现代工业中重要的矿物原料,许多发达国家把它作为一种重要的战略物资进行储备(邹灏等,2012)。大石湖萤石矿处于宁城—平泉—顺义成矿带上。近些年,河北—内蒙古地区的矿产勘查工作取得了显著进展,相继发现了众多规模不等的萤石矿床,对该地区萤石矿成因等科学问题的研究进程起到了推动作用。
大石湖萤石矿的开发利用历史可以追溯到 20 世纪初期。据当地县志记载,最早在1923年就有村民在耕作时发现地表裸露的萤石矿脉,随后开始了小规模的开采活动。这种民间自发性的开采活动主要集中在矿区地表及浅层区域,开采深度一般不超过20 m,采用简单的镐、锹等工具进行人工挖掘。值得注意的是,大石湖萤石矿的地质勘查工作长期处于空白状态。直到1985年,当地地质部门才首次对该矿区进行了初步踏勘,但未开展系统的地质工作。矿区的资源储量、矿体形态、矿石品位等基础地质数据至今仍缺乏准确评估。根据现有零星资料显示,该矿区萤石矿体呈脉状产出,主要矿物为白色萤石,及少量紫色和绿色萤石,CaF2 含量为 30%~85%,具有较好的开发利用前景。近年来,随着萤石资源战略地位的提升,当地政府开始重视大石湖萤石矿的开发利用。2018年,该矿床被列入省级矿产资源勘查规划,计划在未来 5 年内开展系统的地质勘查工作,查明资源储量,并制定科学合理的开发利用方案,为矿床的规模化、规范化开发奠定基础。
鉴于这样的现状,笔者对大石湖萤石矿进行深入的研究,重点聚焦于开展流体包裹体以及稀土元素特征方面的研究工作。通过分析流体包裹体的成分、温度、压力等参数,能够在一定程度上揭示成矿流体的来源、演化过程以及与萤石矿形成之间的关系。而稀土元素特征的研究则有助于从元素地球化学的角度,探索萤石矿在形成过程中稀土元素的迁移、富集规律,进而深入剖析整个矿床的成因,为该地区萤石矿的后续开发、资源评估以及地质研究提供有价值的依据。
1 矿床地质概况
矿床大地构造处于华北地台,燕山造山带,马兰峪复式背斜,宽城构造单元的东北部,平坊—桑园大断裂东部侧;区内出露的地层主要有:震旦系 (Z)、寒武系(Є)、奥陶系(O)和第四系(Q);区域燕山期岩浆活动强烈,并具有多期次活动的特征,形成中侏罗世中—酸性喷出岩和晚侏罗世中性侵入岩;区内构造复杂,发育东西向构造体系和新华夏系构造体系的三、四、五级构造单元,包括一系列褶皱、断裂、旋钮构造等。
1.1 矿床地层
该区内出露的主要地层为中元古代中期和晚期,总体呈南西—北东向展布。其中,本区重要的成/控矿地层为雾迷山组四段(Pt22w4),间接找矿的标志层为洪水庄组一段(Pt22h1)。洪水庄组二段 (Pt22h2):主要为灰色、灰黄色薄层粉晶白云岩;洪水庄组一段(Pt22h1):主要为灰黑色、灰色页岩夹钙质页岩和少量硅质页岩;雾迷山组四段(Pt22w4):主要为灰白色破碎角砾状白云岩和泥粉晶白云岩;雾迷山组三段(Pt22w3):主要为深灰色中厚层状灰质白云岩夹含燧石条带硅质白云岩;雾迷山组二段(Pt22w2):主要为灰白色中厚—厚层状灰质白云岩与含硅质条带白云岩互层(图1)。
1大石湖萤石矿地质简图
1—洪水庄组二段;2—洪水庄组一段;3—雾迷山组四段;4—雾迷山组三段;5—雾迷山组二段;6-—矿脉及编号;7—正长斑岩脉;8—石英脉; 9—断层及编号;10—地质界线
1.2 矿床构造
该区南部断裂构造发育,主要有断层 F1、F2、 F3、F4、F5(图1),由于热液活动影响,行迹不易辨认。断裂走向为北西向;断裂性质以张性为主,按其与成矿的关系划分为成矿前断裂构造和成矿后断裂构造两类。成矿前断裂(主要为褶皱牵引裂隙和层间破碎带)为热液的运移提供了通道,也为萤石矿的沉淀富集提供了空间。
南部地层总体表现为单斜,为褶皱的一翼。产状总体较陡,其内受褶皱纵弯作用的影响,由于岩石能干性的不同,多发生层间滑动,形成顺层破碎带。破碎带内萤石矿化体形态常呈似层状、透镜状、网脉和囊状,原生矿化体附近亦可见淋滤作用下的红土层。北部地层褶皱构造发育,形成复式背向斜构造,背斜轴向北东倾伏。萤石矿化体呈网脉和囊状,顺背向斜轴部呈北东向分布,原生矿化体附近亦可见淋滤作用下的红土层。
1.3 矿床岩浆岩(脉岩)
该区内岩浆岩主要是燕山期侵入岩脉(正长斑岩脉和石英),规模不大,与该区成矿无关。正长斑岩脉走向近南北向,石英脉为北西向。
值得注意的是,在该区域内,并没有发现火山岩的存在。这一现象可能与该区域独特的地质演化历史、地质构造环境等多种因素相关,无论是在地表的勘查,还是依据现有的地质探测技术深入地下的探查,都没有发现火山岩的踪迹。
1.4 矿体及矿石特征
Ⅵ号矿体位于该区中部,产于灰白色泥粉晶白云岩中,矿体长 130 m,宽 2~3 m,走向北东,倾向北西,倾角 70°~75°,严格受地层控制(图2)。矿石类型为石英-萤石型。其矿石矿物为萤石,多为白色,呈透明至半透明状,单矿物形状有不规则粒状与立方体,集合体呈现梳状、放射状和同心圆状,局部可发现石英、重晶石与萤石共生,且存在萤石包裹石英、重晶石的现象;脉石矿物以石英居多,方解石、白云石、长石、重晶石等次之。矿石结构主要为不规则他形粒状镶嵌结构与自形—半自形粒状结构为主,充填结构和他形粒状结构次之;矿石构造以致密块状构造为主,似层状构造为辅。其化学成分主要为CaF₂和SiO₂,其中CaF₂是最主要的有益组分,其含量高时可达60%,少数能超过90%,一般多介于 20%~40%,且总体分布不均匀(图3a、d~f)。
2大石湖萤石矿Ⅵ号矿体11号勘探线剖面图
Ⅶ号矿体位于该区北部,产于灰白色泥粉晶白云岩中,矿体长 210 m,宽 1~3 m,走向北东,倾向北西,倾角 30°~40°,严格受地层控制。矿石类型为萤石型。其矿物为萤石,多呈白色,亦见浅紫色、淡黄色、浅绿色,透明—半透明状,单矿物呈不规则粒状及立方体,集合体呈梳状和放射状及同心圆状,局部见石英与萤石伴生;脉石矿物以石英为主,其次为方解石。矿石结构以自形—半自形粒状结构为主,其次有充填结构、他形粒状镶嵌结构、他形粒状结构;矿石构造以蜂窝状构造和晶簇状构造为主,其次为同心环状构造和贝壳状构造等。其化学成分主要为CaF2和SiO2,矿石中最主要有益组分CaF2 含量高者为 55%,少数可高达 80% 以上,一般多为 20%~40%,且总体分布不均匀(图3b)。
XVI 号矿体位于该区南部,产于灰白色泥粉晶白云岩中,矿体长160 m,宽0.8~1.5 m,走向北西,倾向南西,倾角 60°~70°,严格受地层控制。矿石类型为石英-萤石型。其矿石矿物为萤石,多为白色,单矿物形状有不规则粒状与立方体,集合体可见萤石与石英共生,且存在萤石包裹石英的现象;脉石矿物以石英为主,其次为方解石。矿石结构主要为不规则他形粒状镶嵌结构与自形—半自形粒状结构; 矿石构造为致密块状构造。其化学成分主要为 CaF2和SiO2,其中CaF2是最主要的有益组分,其含量高时可达 70%(少数特殊样本能超过 95%),一般多介于50%~60%,且总体分布均匀(图3c)。
3大石湖萤石矿矿石照片
a—糖粒状萤石矿手标本;b—蜂窝状萤石矿手标本;c—脉状萤石矿手标本;d—野外萤石矿脉;e—萤石矿镜下照片;f—萤石矿镜下照片;Qz— 石英;Fl—萤石
2 采样与分析方法
流体包裹体片磨制和测试由北京锆年领航科技有限公司完成,所使用的仪器为英国Linkam 公司生产的 THMSG600 型冷热台搭载蔡司透反两用显微镜。温控范围-196~+600℃,冰点精度为 0.1℃,均一温度精度为 1℃。测试过程中,升温或降温速度控制在 10~30℃/min,相变点附近速度控制在 0.1℃/min,并部分进行反复测温检验,确保测试结果的准确性。
稀土元素测试分析在华北有色(三河)燕郊中心实验室有限公司完成,利用德产 EEMENT XR 电感耦合等离子体质谱仪完成。分析步骤简述为:称取 (50±0.3) mg 纯度为 99 % 以上的萤石单矿物样品 (200 目)置于 Teflon 坩埚中;依次加入 2 mL HF、1 mL HNO3,拧紧盖子置于 170℃电热板上,加热 48h;待坩埚冷却后,开盖置于电热板(170℃)上,直至样品蒸至湿盐状;依次加入1 mL 4%的硼酸、2.5 mL 超纯水和 2.5 mL HNO2,拧紧盖子置于170℃电热板上加热12 h;将溶液转入聚四氟乙烯塑料瓶中,并用超纯水定容至50 mL。空白溶液和标样经上述步骤同样处理。
3 矿床地球化学特征
3.1 流体包裹体特征
大石湖萤石矿共取成矿期萤石样品 3 件,分别为Ⅵ号矿体(图4a)、Ⅶ号(图4b)矿体、XVI 号矿体 (图4c);该矿床矿物成分较简单,矿石矿物为萤石,脉石矿物主要为石英,其次为方解石、白云石、长石、重晶石。
3.1.1 流体包裹体岩相学特征
HB01 流体包裹体主要分布在热液脉体重晶石、萤石等透明矿物内,体积较小,丰度较高。室温下根据包裹体岩相学特征可分为:Ia型富液两相包裹体,室温下由水溶液、气泡组成,灰白色—灰色,少数黑色,透明—半透明,呈不规则形、椭圆形、负晶形离散或带状分布,大小 3~10 μm,气液比为 5% (图4a、b);Ⅱ型纯液相包裹体,数量较多,室温呈单一相,灰白色,多透明呈不规则形离散分布,体积小于4 μm,部分与Ia型包裹体共生。
HB02 流体包裹体主要分布在热液萤石脉内,丰度较高。室温下根据包裹体岩相学特征可分为: Ia型富液两相包裹体,室温下由水溶液、气泡组成,灰白色—灰色,少数黑色,透明—半透明,呈长条形、椭圆形、负晶形离散或带状分布,大小3~10 μm,气液比为 10%(图4c、d);Ⅱ型纯液相包裹体,数量较多,室温呈单一相,灰白色,多透明呈不规则形离散分布,体积小于4 μm,部分与Ia型包裹体共生。
HB03 流体包裹体主要分布热液脉体重晶石、萤石等透明矿物内,丰度较高。室温下根据包裹体岩相学特征可分为:Ia型富液两相包裹体,室温下由水溶液、气泡组成,灰白色—灰色,透明—半透明,呈不规则形、负晶形离散分布,大小 3~10 μm,气液比为 10%;Ⅱ型纯液相包裹体,数量较多,室温呈单一相,灰白色,多透明呈不规则形离散分布,体积小于4 μm,部分与Ia型包裹体共生(图4e、f)。
4大石湖萤石矿包裹体单偏光照片
a—萤石中Ia型富液两相包裹体(Ⅵ号矿体);b—萤石中Ia型富液两相包裹体(Ⅵ号矿体);c—萤石中Ia型富液两相包裹体和Ⅱ型纯液相包裹体(Ⅶ号矿体);d—萤石中Ia型富液两相包裹体(Ⅶ号矿体);e—萤石中Ia型富液两相包裹体(XVI号矿体);f—萤石中Ia型富液两相包裹体 (XVI号矿体)
综上所述,大石湖矿床包裹体以 Ia型富液两相包裹体和Ⅱ型纯液相包裹体为主,其中 Ia型包裹体直径为 3~10 μm,气相比为 4%~10%,多呈不规则、负晶形、椭圆形等形状,加温后均一到液相。Ⅱ型纯液相包裹体直径多小于 4 μm,多呈不规则状,部分与 Ia 型包裹体共生,推测为低温环境捕获(图4)。
3.1.2 均一温度和盐度
大石湖萤石矿床主要发育气液两相包裹体,测温结果(表1)显示包裹体均一温度变化于 124.0~198.7℃,主要集中在 124~170℃,代表了矿床成矿流体的最佳温度,表明矿床形成于低温环境(图5)。此外,包裹体均一温度直方图仅表现出一个峰值,不具有多期、多阶段叠加成矿的特征。
1大石湖萤石矿流体包裹体显微测温结果
5大石湖矿床包裹体均一温度直方图
6大石湖矿床包裹体盐度直方图
通过镜下观察,结合冰点温度结果,判定大石湖矿床流体包裹体属于 NaCl-H2O 体系流体。依据 NaCl-H2O 体系盐度-冰点公式 W=0.00+1.78Tm-0.0442Tm 2 +0.000557Tm 3 计算流体盐度(曾昭法等, 2013陈慧军,2014)。经计算,大石湖矿床盐度变化区间为5.11%~7.86% NaCleqv,主要集中在6% NaCleqv 左右,变化范围较窄(图6),反映出成矿流体在物质组分和物理化学状态上的一致性(曾昭法,2013王亮等,2018王启博等,2023)。
综上,包裹体显微测温结果显示,大石湖矿床成矿流体具有低温-低盐度特征,二者的关系图解 (图7)显示出成矿期流体均一、单阶段的成矿特征,不具备多期流体混合或流体沸腾等特征。因此,成矿溶液的低温低盐度特征表明大气降水可能直接影响大石湖萤石矿的形成。
3.1.3 包裹体密度、压力和氧逸度
通过计算成矿期大石湖萤石矿流体密度为 0.92~0.99 g/cm3,平均值为0.96 g/cm3,表明成矿流体密度略小于冷的大气降水,显示出一种上涌的热水溶液(曾昭法等,2013裴秋明,2018王亮等, 2018)。流体包裹体所记录的压力变化幅度广泛,为 2.2~14.3 MPa,这种显著的离散性映射了成矿环境中压力状态的剧烈波动。
根据下列公式(刘斌和沈昆,1999):
lgfo2=A1×lgP+A2+A3+A4/T×lgT+A5×T+A6×T2+A7/T+A8/T2+A9/T+A10/T2.6+A11/T5.2×P+f(x)
(1)
式(1)中,T 为温度(K),P 为压力(bar),公式适用范围为P≤1×108 Pa。
求得大石湖矿床成矿期流体的氧逸度为-73.8~-42.3 Pa,平均值为-56.3,指示成矿期处于较还原环境,成矿流体为酸性。
3.2 稀土元素地球化学特征
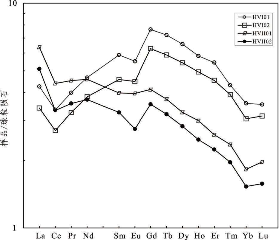
本文在河北省平泉市大石湖萤石矿共取4件萤石样品进行测试稀土元素,测试结果如下(表2)。
7大石湖矿床成矿流体均一温度-盐度关系图解
2大石湖萤石矿萤石稀土元素测试结果
注:稀土元素wB/10-6;计算Tb/Ca原子数比时,n(Ca)采用CaF2中Ca的理论值(51.3328%)。
8大石湖矿床稀土元素球粒陨石标准化配分模式图(球粒陨石数据据Boynton,1984
4个萤石样品的稀土元素配分型式较为一致 (图8),均呈现出右倾趋势,有弱的 Ce 负异常和 Eu负异常;ΣREE 为 8.42×10-6~12.39×10-6,平均为 10.35×10-6;LREE/HREE 比值为 1.20~2.68,平均为 1.89;LaN/YbN比值为 1.12~3.49,平均为 2.28;δEu 为 0.81~0.98,平均为 0.86;δCe 为 0.78~0.82,平均为 0.81。
4 讨论
4.1 矿质沉淀机制
前人研究表明,萤石发生沉淀的主要机制为: (1)成矿流体温度和压力发生变化;(2)两种或两种以上化学组成不同的流体发生混合作用;(3)成矿流体与围岩发生水/岩反应(曾昭法等,2013张强, 2017)。大石湖地区萤石矿床流体包裹体显微测温结果显示成矿温度较低,单纯的冷却作用不应是导致萤石沉淀的主要因素。由于压力变化而从稀溶液中沉淀出来的萤石数量,比仅由温度下降而导致萤石沉淀的数量少一个数量级(曾昭法,2013张强,2017裴秋明,2018),因此压力变化也不应是影响萤石沉淀的主要因素。此外该区域的成矿流体盐度分布较为集中,主要围绕在 6% NaCleqv附近(图6),这反映出区内成矿流体在物质成分和物理化学状态上具有高度的一致性。这一特征表明,该区域的萤石沉淀过程,不太可能是由不同性质的流体混合所引发的。这暗示了萤石的形成更可能是在相对稳定的流体环境下发生的,而非多种流体相互作用的结果。结合野外地质特征,认为在成矿阶段,构造活动促使热水溶液与围岩发生交互作用,当温度逐渐下降时,促使萤石从溶液中结晶并沉淀出来。热液既可以从围岩中萃取Ca质成分,也可从自身带来的 Ca 质成分发生化学反应生成萤石。主要的化学反应式如下萤石:Ca(HCO32=CaCO3+H2O+ CO2↑;Ca(HCO32+2HF→CaF2+2H2CO3;CaCO3+2HF →CaF2+H2CO3曾昭法等,2013;王亮等,2017;裴秋明,2018)。
在萤石主矿体形成的关键时期,成矿流体呈现出明显的酸性特征。这种酸性环境不利于SiO2的大量溶解和迁移,因此,流体中的萤石成分得以富集,主要形成了品位较高、结构紧密的条带状或块状萤石矿体。然而,随着地质过程的推进,成矿流体中的HF(氢氟酸)含量逐渐减少,导致流体的酸碱性从酸性逐渐过渡到中性或弱碱性。这一转变对SiO2的溶解度产生了显著影响,使之变得更加活跃,从而促进了CaF2的迁移和沉淀。
正是由于 CaF2(氟化钙)和 SiO2在不同 pH 值下的溶解度差异,导致了它们在成矿流体中的差异沉淀。当流体的 pH 值升高,从酸性变为中性或弱碱性时,CaF2的溶解度相对较低,而SiO2的溶解度则有所提高。这种差异性沉淀不仅净化了成矿流体,还促进了矿石矿物的分化,最终形成了以萤石和石英为主,成分相对简单的矿石结构。这一过程不仅揭示了萤石和石英在特定地质条件下共同形成的机制,也展示了pH值变化对矿物沉淀的重要影响。
4.2 矿床成因类型及判别
大气降水热液成因的有用矿物成分简单,成矿元素较单一,而岩浆热液成因矿床矿物成分主要是氧化物、含氧盐类,还有硫化物,成矿元素复杂多样 (曾昭法等,2013)。如前所述,该矿床矿石矿物为萤石(CaF2),脉石矿物主要为石英,成矿围岩蚀变为硅化和大理岩化。这特定地质特征显示,与大气降水相关的热液成矿环境在矿物组成和成矿元素上,与岩浆活动后期形成的环境有明显区别。大气降水热液的低温、低盐度特征暗示其来源,而岩浆后期热液则伴随高温条件,形成更为复杂的矿物和元素组合。通过分析这些特征,可以有效区分不同成因的热液矿床。在大石湖矿床中,萤石矿体的分布严格遵循断裂构造的走向,这明确地表明了矿床的形成与断裂构造活动之间存在着密切的联系。断裂构造不仅为成矿物质和成矿流体的迁移提供了路径,同时也控制了矿体的形态和分布,形成了明显的构造控制充填型矿床特征。从成矿流体的温度角度分析,大石湖萤石矿床被归类为低温热液裂隙充填型矿床。
经研究分析,同期同流体来源形成的萤石中 Y/ Ho、La/Ho两者之间的比值相似且趋近一直线;非同期同流体来源结晶的萤石Y/Ho、La/Ho值呈负相关; 而重结晶的萤石中 Y/Ho 变化较小,La/Ho 变化范围较宽(张强,2017代晓光等,2021刘天航等,2023邱根雷等,2024王亚伟等,2024杨洲畬和叶发, 2024)。河北省平泉市大石湖萤石矿 4 件萤石样品的 Y/Ho 比值变化很小,其范围为 58.21~63.00;La/ Ho比值为2.89~8.88。在La/Ho-Y/Ho关系图解中呈近水平分布(图9)(刘天航等,2023),表明它们是同期形成的。恒定的Y/Ho值是结晶环境稳定的表现,4 件萤石样品的 Y/Ho值变化较小,说明萤石在结晶时处于较稳定的环境。
Tb/La-Tb/Ca双变量图解能有效判别萤石成因,根据 Tb/Ca、Tb/La 值(原子数比),萤石的成因可以分为伟晶岩(气相)成因、热液成因和沉积成因。分析成矿流体与围岩间是否产生水岩反应,可以通过检测 Tb/Ca 比值,来量化评估成矿流体与含钙围岩的混合程度,以及稀土元素在成矿流体中的吸附状态。与此同时,Tb/La比值的动态变化,能有效揭示在流体的演化历程中,稀土元素的分异和富集程度 (董文超等,2020刘天航等,2023)。河北省平泉市大石湖萤石矿萤石样品均落在 Tb/La-Tb/Ca 图解的热液成因区(图10),指示大石湖萤石矿属于热液成因,结合成矿流体的研究结果,表明成矿流体与围岩发生了一定程度的水岩反应。
9大石湖萤石矿床萤石Y/Ho-La/Ho图解 (底图据Bau,1996
10大石湖萤石矿床萤石Ta/Ca-Tb/La图解 (底图据Möller et al.,1976
5 结论
(1)大石湖萤石矿赋矿围岩为雾迷山组四段(Pt22w4)灰白色泥粉晶白云岩,矿体严格受地层控制,主要呈带状或脉状产出;其萤石矿床的矿物组合较简单,主要为萤石、石英及少量方解石。
(2)研究区萤石中流体包裹体以 Ia型富液两相包裹体和Ⅱ型纯液相包裹体为主,成矿流体具有中低温(集中于 124~170℃)、低盐度(集中于 5.11%~7.86% NaCleqv)、低密度(0.88~0.94 g/cm3)的特征。
(3)大石湖矿床成矿期流体的氧逸度为-73.8~-42.3,平均值为-56.3,指示成矿期处于较还原环境,成矿流体为酸性。
(4)大石湖萤石矿萤石样品的Y/Ho比值变化很小,说明萤石在结晶时处于较稳定的环境;在 La/ Ho-Y/Ho 关系图解中呈近水平分布,表明它们是同期形成的。通过对 Tb/La-Tb/Ca 双变量图解分析,萤石样品均落在热液成因区,指示大石湖萤石矿属于热液成因。
1大石湖萤石矿地质简图
2大石湖萤石矿Ⅵ号矿体11号勘探线剖面图
3大石湖萤石矿矿石照片
4大石湖萤石矿包裹体单偏光照片
5大石湖矿床包裹体均一温度直方图
6大石湖矿床包裹体盐度直方图
7大石湖矿床成矿流体均一温度-盐度关系图解
8大石湖矿床稀土元素球粒陨石标准化配分模式图(球粒陨石数据据Boynton,1984
9大石湖萤石矿床萤石Y/Ho-La/Ho图解 (底图据Bau,1996
10大石湖萤石矿床萤石Ta/Ca-Tb/La图解 (底图据Möller et al.,1976
1大石湖萤石矿流体包裹体显微测温结果
2大石湖萤石矿萤石稀土元素测试结果
Bau M. 1996. Controls on the fractionation of isovalent trace elements in magamatic and aqueous systems: Evidence from Y/Ho, Zr/Hf and lanthanide tetrad effect[J]. Contributions to Mineralogand & Petrol-ogy, 123: 323-333.
Boynton W V. 1984. Cosmochemistry of the rare earth elements: Meteor-ite studies[M]//Rare Earth Element Geochemistry. Amsterdam: Elsevier, 63-114.
Möller P, Parekh P P, Schneider H J. 1976. The Application of Tb/Ca-Tb/La abundance ratios to problems of fluorspar genesis[J]. Minera-lium Deposita, 11: 111-116.
鲍荣华, 刘伟. 2013. 我国萤石资源利用状况及对策研究[J]. 国土资源情报,(11):20-24.
陈慧军. 2014. 内蒙古林西地区萤石矿床矿石组分分异特征及其影响因素[D]. 北京: 中国地质大学(北京).
代晓光, 商朋强, 张成信, 梁中朋, 王锦鹏, 李健, 杨海波, 聂新明. 2021. 冀北招素沟萤石矿地球化学特征及矿床成因探讨[J]. 岩石矿物学杂志,40(1):27-38.
董文超, 庞绪成, 司媛媛, 梁贞, 李文明. 2020. 河南嵩县车村萤石矿床稀土元素特征及地质意义[J]. 中国稀土学报,38(5):706-714.
刘斌, 沈昆. 1999. 流体包裹体热力学[M]. 北京: 地质出版社.
刘天航, 高永宝, 刘家军, 魏立勇, 唐卫东, 李宗会, 何佳乐, 李嘉伟. 2023. 内蒙古东七一山萤石矿微量、稀土元素特征及对成矿物质来源的指示[J/OL]. 中国地质,1-19[2025-07-23].. http://kns. cnki. net/kcms/detail/11. 1167. P. 20230505. 1150. 018. html.
裴秋明. 2018. 大兴安岭南段萤石矿成矿规律及隐伏—半隐伏矿体预测[D]. 北京: 中国地质大学(北京).
邱根雷, 张晓龙, 寿立永, 高文彬, 金凯, 严鹏程. 2024. 陕南蟒岭矿集区天明一带萤石矿床稀土元素地球化学特征及其成矿意义[J]. 矿产勘查,15(4):588-599.
王亮, 裴秋明, 曹华文, 赵玉, 宋开瑞, 孙伯为, 方乙. 2018. 内蒙古林西地区小北沟萤石矿床成矿流体特征及矿床成因探讨[J]. 桂林理工大学学报,38(2):189-198.
王启博, 张寿庭, 唐利, 李军军, 盛渊明. 2023. 豫西杨山萤石矿床成因: 萤石稀土元素组成和流体包裹体热力学制约[J]. 现代地质,37(6):1524-1537.
王亚伟, 史保堂, 梁家乐, 牛钰琳. 2024. 河南嵩县马石沟萤石矿床地质特征及元素地球化学特征研究[J]. 矿产勘查,15(5):784-793.
杨洲畬, 叶发. 2024. 江西全南县青龙山萤石矿稀土元素地球化学特征及成因分析[J]. 矿产与地质,38(1):106-113.
张强. 2017. 大兴安岭南段乌力吉敖包萤石矿床地球化学特征与成因探讨[D]. 成都: 成都理工大学.
曾昭法, 曹华文, 高峰, 高永璋, 邹灏, 李冬. 2013. 内蒙古林西地区萤石矿床流体包裹体研究[J]. 地球化学,42(1):73-81.
曾昭法. 2013. 内蒙古林西地区萤石矿床地球化学特征与成因探讨[D]. 北京: 中国地质大学(北京).
邹灏, 张寿庭, 方乙, 王光凯, 曹华文, 张鹏, 黄福喜. 2012. 中国萤石矿的研究现状及展望[J]. 国土资源科技管理,29(5):35-42.